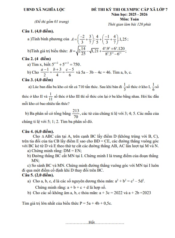
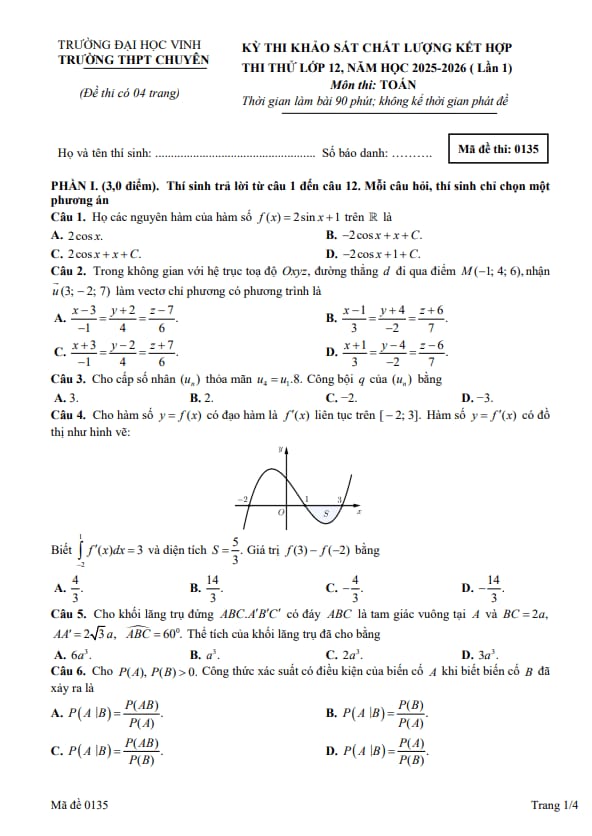
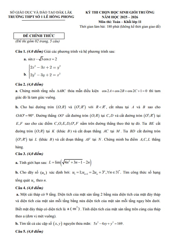
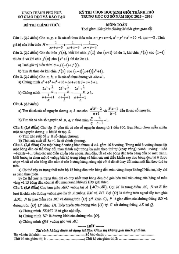
Cách giải toán chi tiết, đề thi toán mới nhất, và tài liệu học toán miễn phí! Tìm kiếm
đáp án toán chính xác, lời giải cụ thể từ lớp 6 đến lớp 12. Khám phá kho bài tập và đề thi thử đa dạng, hỗ trợ ôn tập hiệu quả. Cập nhật tài liệu toán học miễn phí, đáp ứng mọi nhu cầu học tập. Nâng cao kỹ năng giải toán và tự tin đạt điểm cao ngay hôm nay!