Logo Header
  1. Môn Toán
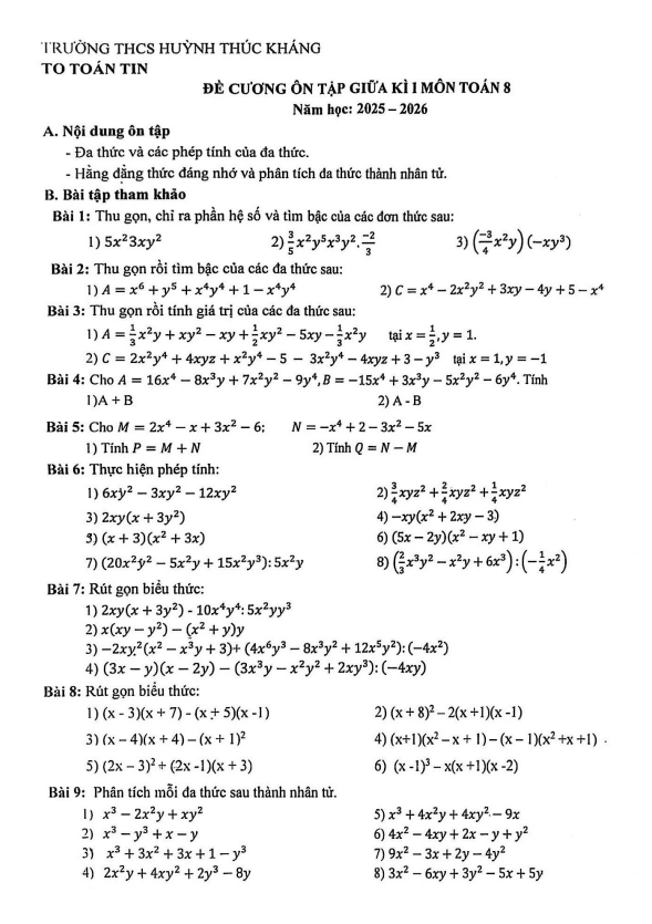
  2. Đề Cương Ôn Tập Toán 8

Đề Cương Ôn Tập Toán 8

Vững vàng kiến thức, bứt phá điểm số Toán 8! Đừng bỏ lỡ Đề Cương Ôn Tập Toán 8 đặc sắc thuộc chuyên mục giải sgk toán 8 trên đề thi toán. Với bộ bài tập toán thcs được biên soạn chuyên sâu, bám sát từng chi tiết chương trình sách giáo khoa, con bạn sẽ củng cố kiến thức nền tảng vững chắc và dễ dàng chinh phục các dạng bài khó. Phương pháp học trực quan, logic sẽ giúp các em tối ưu hóa quá trình ôn luyện và đạt hiệu quả học tập tối đa!

Xem thêm nhiều hơn đáp án bài tập Đề Cương Ôn Tập Toán 8