Logo Header
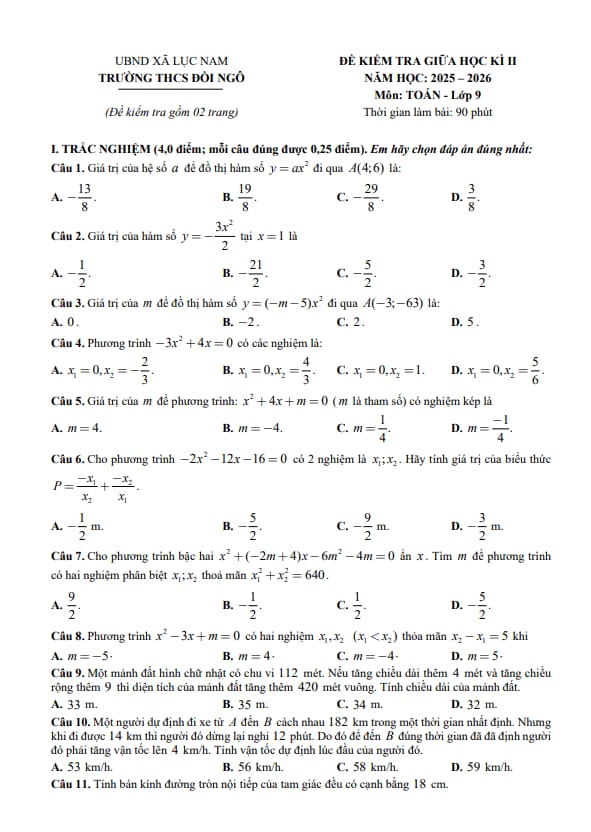
  1. Môn Toán
  2. Đề Thi Giữa HK2 Toán 9

Đề Thi Giữa HK2 Toán 9

Làm chủ Toán 9, tự tin vào phòng thi! Đừng bỏ lỡ Đề Thi Giữa HK2 Toán 9 đặc sắc thuộc chuyên mục bài tập toán 9 trên nền tảng học toán. Với bộ bài tập toán thcs được biên soạn chuyên sâu, bám sát cấu trúc đề thi và chương trình sách giáo khoa mới nhất, đây chính là công cụ đắc lực giúp các em tối ưu hóa ôn luyện, củng cố kiến thức vững chắc và thuần thục mọi dạng bài thi khó nhằn. Phương pháp học trực quan, khoa học sẽ mang lại hiệu quả vượt trội, giúp con bạn chinh phục mọi thử thách một cách dễ dàng.

Xem thêm nhiều hơn đáp án bài tập Đề Thi Giữa HK2 Toán 9