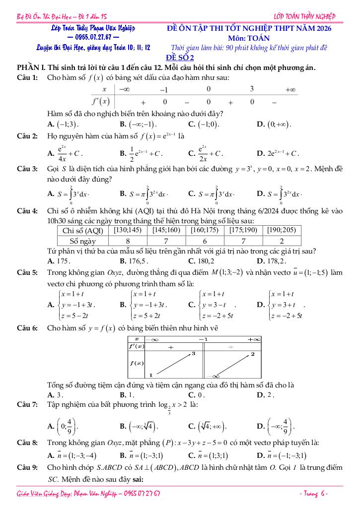
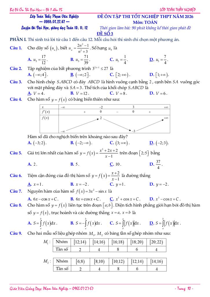
Tài liệu gồm 234 trang, được biên soạn bởi thầy giáo Phạm Văn Nghiệp, tuyển tập bộ đề ôn tập thi tốt nghiệp THPT môn Toán năm 2026.
Các đề thi trong bộ tài liệu bao quát đầy đủ những chuyên đề trọng tâm của chương trình Toán THPT, đặc biệt là kiến thức lớp 12. Hệ thống câu hỏi được thiết kế có tính phân hóa, giúp học sinh vừa củng cố nền tảng cơ bản, vừa rèn luyện kỹ năng xử lý các câu hỏi vận dụng và vận dụng cao – yếu tố quyết định điểm số trong bài thi.
Bộ đề phù hợp cho quá trình luyện đề tổng hợp, giúp học sinh làm quen áp lực thời gian, nâng cao khả năng phân tích đề thi và xây dựng chiến lược làm bài hợp lý. Đây cũng là nguồn tham khảo hữu ích cho giáo viên trong việc tổ chức ôn tập và xây dựng kế hoạch chuẩn bị cho kỳ thi tốt nghiệp THPT năm 2026.
Xem thêm đáp án: bộ đề ôn tập thi tốt nghiệp thpt môn toán năm 2026 – phạm văn nghiệp










Giải Toán bộ đề ôn tập thi tốt nghiệp thpt môn toán năm 2026 – phạm văn nghiệp với Đáp Án Mới Nhất
Toán học luôn là một môn học quan trọng, giúp học sinh phát triển tư duy logic và kỹ năng giải quyết vấn đề. Để hỗ trợ các bạn học sinh và giáo viên trong việc học tập và giảng dạy, bài viết này sẽ cung cấp lời giải chi tiết và đáp án chính xác cho chủ đề bộ đề ôn tập thi tốt nghiệp thpt môn toán năm 2026 – phạm văn nghiệp, giúp bạn hiểu sâu và tự tin hơn khi làm bài tập.
bộ đề ôn tập thi tốt nghiệp thpt môn toán năm 2026 – phạm văn nghiệp là một trong những phần kiến thức quan trọng trong chương trình toán học, thường xuất hiện trong các bài kiểm tra và kỳ thi lớn. Việc nắm vững phần này không chỉ giúp bạn đạt điểm cao mà còn tạo nền tảng vững chắc để học các nội dung nâng cao hơn.
Chúng tôi cung cấp hướng dẫn từng bước giải bài tập, bao gồm:
Mỗi bài giải đều kèm theo lời giải thích chi tiết, giúp bạn hiểu không chỉ cách làm mà còn cả lý do tại sao nên áp dụng phương pháp đó.
Tất cả các bài tập đều đi kèm đáp án mới nhất, được kiểm tra kỹ lưỡng để đảm bảo độ chính xác cao. Điều này giúp bạn tự kiểm tra kết quả và khắc phục lỗi sai một cách nhanh chóng.
Ngoài ra, bài viết còn cung cấp các tài liệu bổ trợ như:
Chủ đề bộ đề ôn tập thi tốt nghiệp thpt môn toán năm 2026 – phạm văn nghiệp là một phần kiến thức thú vị và hữu ích trong toán học. Hãy sử dụng bài viết này như một công cụ hỗ trợ để bạn chinh phục mọi thử thách trong môn Toán. Đừng quên ôn tập thường xuyên và luyện tập nhiều dạng bài tập khác nhau để thành thạo hơn!
Chúc các bạn học tốt và đạt kết quả cao! 😊
>> Xem thêm đáp án chi tiết về: bộ đề ôn tập thi tốt nghiệp thpt môn toán năm 2026 – phạm văn nghiệp.