Tài liệu gồm 67 trang, được biên soạn bởi thầy giáo Lê Bá Bảo, bao gồm lý thuyết và bài tập chuyên đề cấp số nhân môn Toán 11 định hướng cấu trúc mới.
A. CHỦ ĐỀ CẤP SỐ NHÂN.
I. TÓM TẮT LÝ THUYẾT.
1. Định nghĩa.
2. Số hạng tổng quát.
3. Tổng n số hạng đầu của một cấp số nhân.
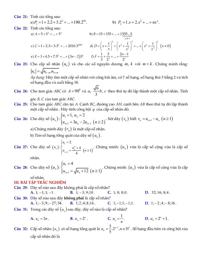
II. BÀI TẬP TỰ LUẬN.
III. BÀI TẬP TRẮC NGHIỆM.
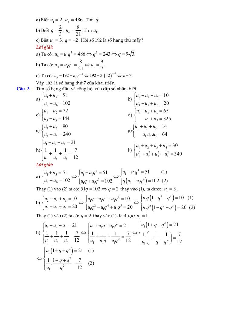
IV. LỜI GIẢI CHI TIẾT.
B. TRẮC NGHIỆM CHUYÊN ĐỀ CẤP SỐ NHÂN MÔN TOÁN 11 ĐỊNH HƯỚNG CẤU TRÚC MỚI.
Phần 1. Câu trắc nghiệm với nhiều phương án lựa chọn.
Phần 2. Câu trắc nghiệm đúng sai.
Phần 3. Câu trắc nghiệm trả lời ngắn.
Phần 4. Câu hỏi tự luận.










Giải Toán chuyên đề cấp số nhân môn toán 11 định hướng cấu trúc mới với Đáp Án Mới Nhất
Toán học luôn là một môn học quan trọng, giúp học sinh phát triển tư duy logic và kỹ năng giải quyết vấn đề. Để hỗ trợ các bạn học sinh và giáo viên trong việc học tập và giảng dạy, bài viết này sẽ cung cấp lời giải chi tiết và đáp án chính xác cho chủ đề chuyên đề cấp số nhân môn toán 11 định hướng cấu trúc mới, giúp bạn hiểu sâu và tự tin hơn khi làm bài tập.
chuyên đề cấp số nhân môn toán 11 định hướng cấu trúc mới là một trong những phần kiến thức quan trọng trong chương trình toán học, thường xuất hiện trong các bài kiểm tra và kỳ thi lớn. Việc nắm vững phần này không chỉ giúp bạn đạt điểm cao mà còn tạo nền tảng vững chắc để học các nội dung nâng cao hơn.
Chúng tôi cung cấp hướng dẫn từng bước giải bài tập, bao gồm:
Mỗi bài giải đều kèm theo lời giải thích chi tiết, giúp bạn hiểu không chỉ cách làm mà còn cả lý do tại sao nên áp dụng phương pháp đó.
Tất cả các bài tập đều đi kèm đáp án mới nhất, được kiểm tra kỹ lưỡng để đảm bảo độ chính xác cao. Điều này giúp bạn tự kiểm tra kết quả và khắc phục lỗi sai một cách nhanh chóng.
Ngoài ra, bài viết còn cung cấp các tài liệu bổ trợ như:
Chủ đề chuyên đề cấp số nhân môn toán 11 định hướng cấu trúc mới là một phần kiến thức thú vị và hữu ích trong toán học. Hãy sử dụng bài viết này như một công cụ hỗ trợ để bạn chinh phục mọi thử thách trong môn Toán. Đừng quên ôn tập thường xuyên và luyện tập nhiều dạng bài tập khác nhau để thành thạo hơn!
Chúc các bạn học tốt và đạt kết quả cao! 😊
>> Xem thêm đáp án chi tiết về: chuyên đề cấp số nhân môn toán 11 định hướng cấu trúc mới.