Tài liệu gồm 143 trang, bao gồm lý thuyết và các dạng bài tập cơ bản chuyên đề môn Toán 8 Kết Nối Tri Thức Với Cuộc Sống (tập 1).
Chương I. ĐA THỨC.
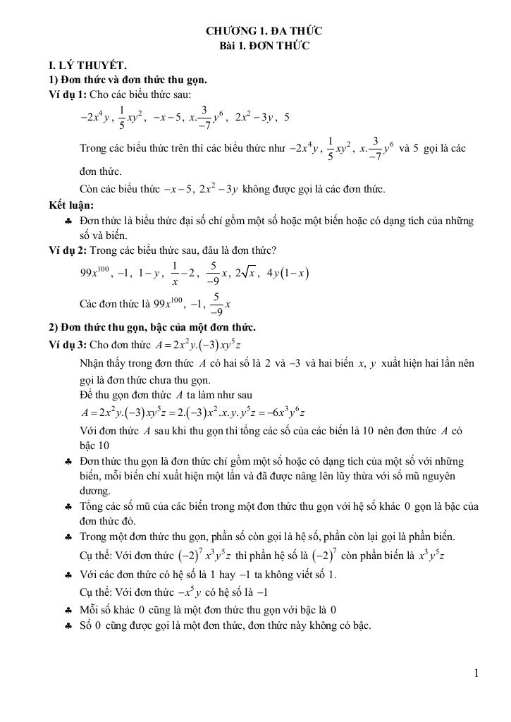
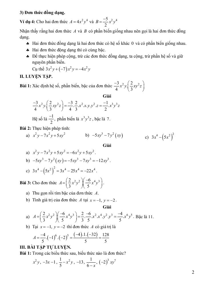
Bài 1. Đơn thức.
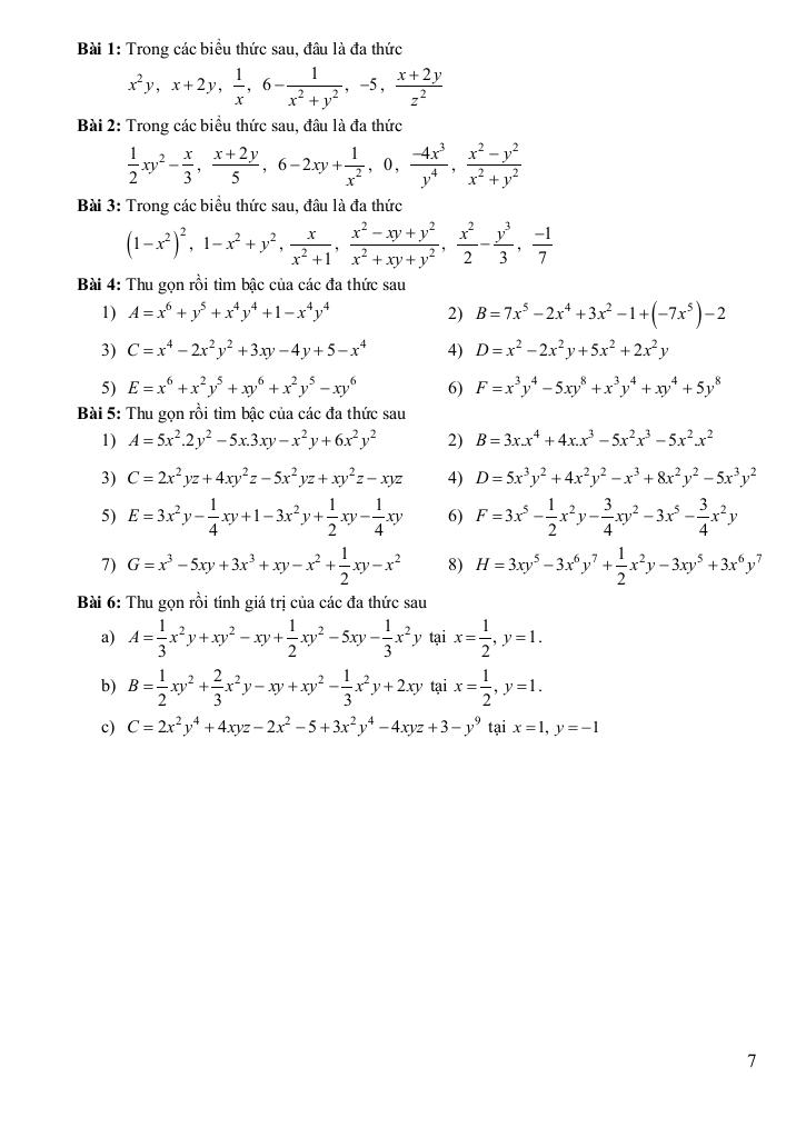
Bài 2. Đa thức.
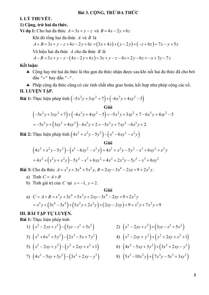
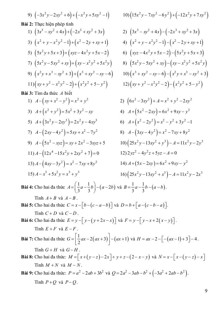
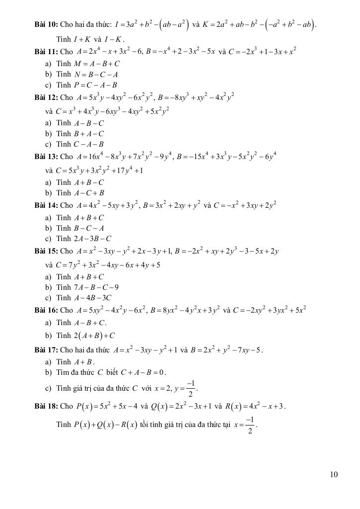
Bài 3. Phép cộng và phép trừ đa thức.
Bài 4. Phép nhân đa thức.
Bài 5. Phép chia đa thức cho đơn thức.
Chương II. HẰNG ĐẲNG THỨC ĐÁNG NHỚ VÀ ỨNG DỤNG.
Bài 6. Hiệu hai bình phương. Bình phương của một tổng hay một hiệu.
Bài 7. Lập phương của một tổng hay một hiệu.
Bài 8. Tổng và hiệu hai lập phương.
Bài 9. Phân tích đa thức thành nhân tử.
Chương III. TỨ GIÁC.
Bài 10. Tứ giác.
Bài 11. Hình thang cân.
Bài 12. Hình bình hành.
Bài 13. Hình chữ nhật.
Bài 14. Hình thoi và hình vuông.
CHƯƠNG IV. ĐỊNH LÍ THALES.
Bài 15. Định lí Thalès trong tam giác.
Bài 16. Đường trung bình của tam giác.
Bài 17. Tính chất đường phân giác của tam giác.
Chương V. DỮ LIỆU VÀ BIỂU ĐỒ.
Bài 18. Thu thập và phân loại dữ liệu.
Bài 19. Biểu diễn dữ liệu bằng bảng, biểu đồ.
Bài 20. Phân tích số liệu thống kê dựa vào biểu đó.
File WORD (dành cho quý thầy, cô): TẢI XUỐNG










Giải Toán chuyên đề cơ bản môn toán 8 kết nối tri thức với cuộc sống (tập 1) với Đáp Án Mới Nhất
Toán học luôn là một môn học quan trọng, giúp học sinh phát triển tư duy logic và kỹ năng giải quyết vấn đề. Để hỗ trợ các bạn học sinh và giáo viên trong việc học tập và giảng dạy, bài viết này sẽ cung cấp lời giải chi tiết và đáp án chính xác cho chủ đề chuyên đề cơ bản môn toán 8 kết nối tri thức với cuộc sống (tập 1), giúp bạn hiểu sâu và tự tin hơn khi làm bài tập.
chuyên đề cơ bản môn toán 8 kết nối tri thức với cuộc sống (tập 1) là một trong những phần kiến thức quan trọng trong chương trình toán học, thường xuất hiện trong các bài kiểm tra và kỳ thi lớn. Việc nắm vững phần này không chỉ giúp bạn đạt điểm cao mà còn tạo nền tảng vững chắc để học các nội dung nâng cao hơn.
Chúng tôi cung cấp hướng dẫn từng bước giải bài tập, bao gồm:
Mỗi bài giải đều kèm theo lời giải thích chi tiết, giúp bạn hiểu không chỉ cách làm mà còn cả lý do tại sao nên áp dụng phương pháp đó.
Tất cả các bài tập đều đi kèm đáp án mới nhất, được kiểm tra kỹ lưỡng để đảm bảo độ chính xác cao. Điều này giúp bạn tự kiểm tra kết quả và khắc phục lỗi sai một cách nhanh chóng.
Ngoài ra, bài viết còn cung cấp các tài liệu bổ trợ như:
Chủ đề chuyên đề cơ bản môn toán 8 kết nối tri thức với cuộc sống (tập 1) là một phần kiến thức thú vị và hữu ích trong toán học. Hãy sử dụng bài viết này như một công cụ hỗ trợ để bạn chinh phục mọi thử thách trong môn Toán. Đừng quên ôn tập thường xuyên và luyện tập nhiều dạng bài tập khác nhau để thành thạo hơn!
Chúc các bạn học tốt và đạt kết quả cao! 😊
>> Xem thêm đáp án chi tiết về: chuyên đề cơ bản môn toán 8 kết nối tri thức với cuộc sống (tập 1).