giaitoan.edu.vn giới thiệu đến quý thầy, cô giáo và các em học sinh đề kiểm tra cuối học kì 1 môn Toán 6 năm học 2025 – 2026 trường THCS Ái Mộ, phường Bồ Đề, thành phố Hà Nội. Đề thi có đáp án và hướng dẫn chấm điểm.
Trích dẫn Đề cuối học kì 1 Toán 6 năm 2025 – 2026 trường THCS Ái Mộ – Hà Nội:
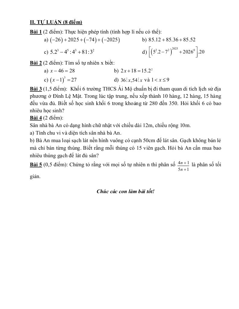
+ Khối 6 trường THCS Ái Mộ chuẩn bị đi tham quan di tích lịch sử địa phương ở Đình Lệ Mật. Trong lúc tập trung, nếu xếp thành 10 hàng, 12 hàng, 15 hàng đều vừa đủ. Biết số học sinh khối 6 trong khoảng từ 280 đến 350. Hỏi khối 6 có bao nhiêu học sinh?
+ Sân nhà bà An có dạng hình chữ nhật với chiều dài 12m, chiều rộng 10m. a) Tính chu vi và diện tích sân nhà bà An. b) Bà An mua loại sạch lát nền hình vuông có cạnh 50cm để lát sân. Gạch không bán lẻ mà chỉ bán từng thùng. Biết rằng mỗi thùng có 15 viên gạch. Hỏi bà An cần mua bao nhiêu thùng gạch để lát đủ sân?
+ Chứng tỏ rằng với mọi số tự nhiên n thì phân số (4n + 1)/(5n + 1) là phân số tối giản.










Giải Toán đề cuối học kì 1 toán 6 năm 2025 – 2026 trường thcs ái mộ – hà nội với Đáp Án Mới Nhất
Toán học luôn là một môn học quan trọng, giúp học sinh phát triển tư duy logic và kỹ năng giải quyết vấn đề. Để hỗ trợ các bạn học sinh và giáo viên trong việc học tập và giảng dạy, bài viết này sẽ cung cấp lời giải chi tiết và đáp án chính xác cho chủ đề đề cuối học kì 1 toán 6 năm 2025 – 2026 trường thcs ái mộ – hà nội, giúp bạn hiểu sâu và tự tin hơn khi làm bài tập.
đề cuối học kì 1 toán 6 năm 2025 – 2026 trường thcs ái mộ – hà nội là một trong những phần kiến thức quan trọng trong chương trình toán học, thường xuất hiện trong các bài kiểm tra và kỳ thi lớn. Việc nắm vững phần này không chỉ giúp bạn đạt điểm cao mà còn tạo nền tảng vững chắc để học các nội dung nâng cao hơn.
Chúng tôi cung cấp hướng dẫn từng bước giải bài tập, bao gồm:
Mỗi bài giải đều kèm theo lời giải thích chi tiết, giúp bạn hiểu không chỉ cách làm mà còn cả lý do tại sao nên áp dụng phương pháp đó.
Tất cả các bài tập đều đi kèm đáp án mới nhất, được kiểm tra kỹ lưỡng để đảm bảo độ chính xác cao. Điều này giúp bạn tự kiểm tra kết quả và khắc phục lỗi sai một cách nhanh chóng.
Ngoài ra, bài viết còn cung cấp các tài liệu bổ trợ như:
Chủ đề đề cuối học kì 1 toán 6 năm 2025 – 2026 trường thcs ái mộ – hà nội là một phần kiến thức thú vị và hữu ích trong toán học. Hãy sử dụng bài viết này như một công cụ hỗ trợ để bạn chinh phục mọi thử thách trong môn Toán. Đừng quên ôn tập thường xuyên và luyện tập nhiều dạng bài tập khác nhau để thành thạo hơn!
Chúc các bạn học tốt và đạt kết quả cao! 😊
>> Xem thêm đáp án chi tiết về: đề cuối học kì 1 toán 6 năm 2025 – 2026 trường thcs ái mộ – hà nội.