giaitoan.edu.vn giới thiệu đến quý thầy, cô giáo và các em học sinh đề kiểm tra cuối học kì 1 môn Toán 10 năm học 2025 – 2026 trường THPT Đoàn Thượng, thành phố Hải Phòng. Đề thi có đáp án và hướng dẫn chấm điểm.
Trích dẫn Đề cuối kì 1 Toán 10 năm 2025 – 2026 trường THPT Đoàn Thượng – Hải Phòng:
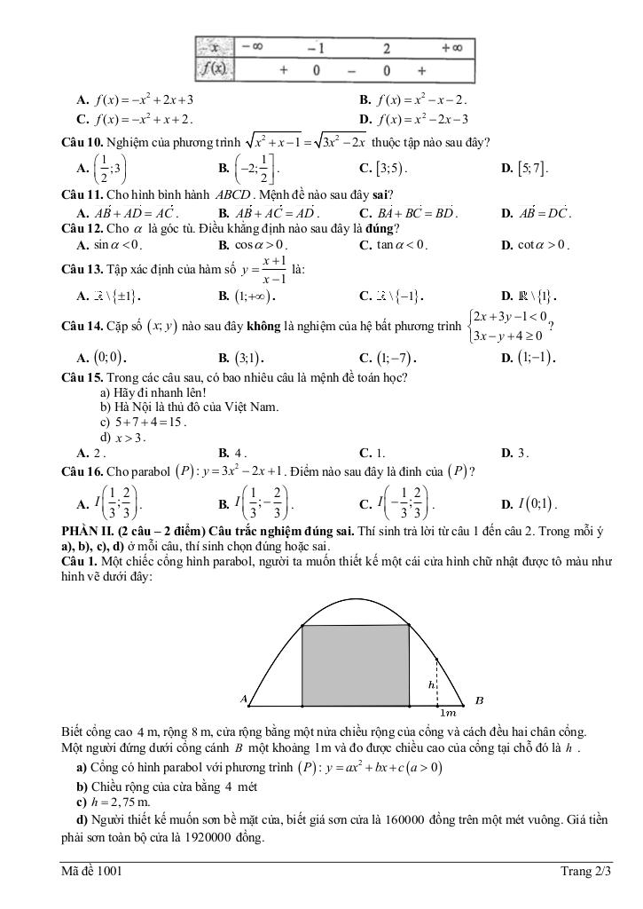
+ Một chiếc cổng hình parabol, người ta muốn thiết kế một cái cửa hình chữ nhật được tô màu như hình vẽ dưới đây. Biết cổng cao 4 m, rộng 8 m, cửa rộng bằng một nửa chiều rộng của cổng và cách đều hai chân cổng. Một người đứng dưới cổng cánh B một khoảng 1 m và đo được chiều cao của cổng tại chỗ đó là h. a) Cổng có hình parabol với phương trình (P): y = ax2 + bx + c (a /> 0). b) Chiều rộng của cừa bằng 4 mét. c) h = 2,75 m. d) Người thiết kế muốn sơn bề mặt cửa, biết giá sơn cửa là 160000 đồng trên một mét vuông. Giá tiền phải sơn toàn bộ cửa là 1920000 đồng.
+ Một công ty du lịch thông báo giá tiền chuyến tham quan của một đoàn khách du lịch như sau: 80 khách đầu tiên có giá là 500 000 đồng/người. Nếu có nhiều hơn 80 khách đăng kí thì cứ thêm 1 người, chi phí sẽ giảm 5 000 đồng/người cho cả đoàn khách du lịch. Số người của đoàn khách du lịch nhiều nhất là bao nhiêu thì công ty không bị lỗ? Biết rằng chi phí thực sự cho chuyến tham quan là 40 480 000 đồng.
+ Tổng chi phí P (đơn vị: nghìn đồng) để sản xuất x sản phẩm được cho bởi biểu thức P = x2 + 30x + 3300; giá bán một sản phẩm là 170 nghìn đồng. Tìm số sản phẩm tối thiểu và tối đa mà nhà sản xuất cần sản xuất để không bị lỗ. (giả sử các sản phẩm được bán hết)?





Giải Toán đề cuối kì 1 toán 10 năm 2025 – 2026 trường thpt đoàn thượng – hải phòng với Đáp Án Mới Nhất
Toán học luôn là một môn học quan trọng, giúp học sinh phát triển tư duy logic và kỹ năng giải quyết vấn đề. Để hỗ trợ các bạn học sinh và giáo viên trong việc học tập và giảng dạy, bài viết này sẽ cung cấp lời giải chi tiết và đáp án chính xác cho chủ đề đề cuối kì 1 toán 10 năm 2025 – 2026 trường thpt đoàn thượng – hải phòng, giúp bạn hiểu sâu và tự tin hơn khi làm bài tập.
đề cuối kì 1 toán 10 năm 2025 – 2026 trường thpt đoàn thượng – hải phòng là một trong những phần kiến thức quan trọng trong chương trình toán học, thường xuất hiện trong các bài kiểm tra và kỳ thi lớn. Việc nắm vững phần này không chỉ giúp bạn đạt điểm cao mà còn tạo nền tảng vững chắc để học các nội dung nâng cao hơn.
Chúng tôi cung cấp hướng dẫn từng bước giải bài tập, bao gồm:
Mỗi bài giải đều kèm theo lời giải thích chi tiết, giúp bạn hiểu không chỉ cách làm mà còn cả lý do tại sao nên áp dụng phương pháp đó.
Tất cả các bài tập đều đi kèm đáp án mới nhất, được kiểm tra kỹ lưỡng để đảm bảo độ chính xác cao. Điều này giúp bạn tự kiểm tra kết quả và khắc phục lỗi sai một cách nhanh chóng.
Ngoài ra, bài viết còn cung cấp các tài liệu bổ trợ như:
Chủ đề đề cuối kì 1 toán 10 năm 2025 – 2026 trường thpt đoàn thượng – hải phòng là một phần kiến thức thú vị và hữu ích trong toán học. Hãy sử dụng bài viết này như một công cụ hỗ trợ để bạn chinh phục mọi thử thách trong môn Toán. Đừng quên ôn tập thường xuyên và luyện tập nhiều dạng bài tập khác nhau để thành thạo hơn!
Chúc các bạn học tốt và đạt kết quả cao! 😊
>> Xem thêm đáp án chi tiết về: đề cuối kì 1 toán 10 năm 2025 – 2026 trường thpt đoàn thượng – hải phòng.