giaitoan.edu.vn giới thiệu đến quý thầy, cô giáo và các em học sinh đề cương ôn tập giữa học kì 2 môn Toán 9 năm học 2025 – 2026 trường THCS Thọ Lộc, xã Phúc Thọ, thành phố Hà Nội.
PHẦN I. TÓM TẮT NỘI DUNG KIẾN THỨC.
1. Đại số.
Chương VI. Hàm số y = ax² (a ≠ 0). Phương trình bậc hai một ẩn.
– Hàm số y = ax² (a ≠ 0).
– Phương trình bậc hai một ẩn.
– Định lí Viète và ứng dụng.
– Giải bài toán bằng cách lập phương trình.
2. Hình học.
Chương IX. Đường tròn ngoại tiếp và đường tròn nội tiếp.
– Góc nội tiếp.
– Đường tròn ngoại tiếp và đường tròn nội tiếp của một tam giác.
– Tứ giác nội tiếp. Đa giác đều.
PHẦN II. MỘT SỐ CÂU HỎI, BÀI TẬP THAM KHẢO.
1. Đại số.
– Dạng 1. Hàm số và đồ thị hàm số y = ax² (a ≠ 0).
– Dạng 2. Ứng dụng thực tế của đồ thị hàm số y = ax² (a ≠ 0).
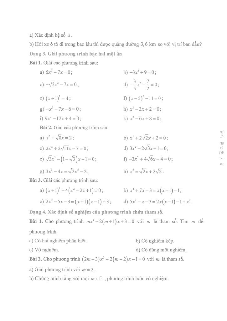
– Dạng 3. Giải phương trình bậc hai một ẩn.
– Dạng 4. Xác định số nghiệm của phương trình chứa tham số.
– Dạng 5. Sự tương giao đồ thị.
– Dạng 6. Định lí Viète và ứng dụng.
– Dạng 7. Giải bài toán bằng cách lập phương trình.
2. Hình học.
– Dạng 1. Tính góc nội tiếp đường tròn.
– Dạng 2. Đường tròn ngoại tiếp. Đường tròn nội tiếp.
– Dạng 3. Tứ giác nội tiếp.
– Dạng 4. Bài tập tổng hợp về đường tròn.
– Dạng 5. Đa giác đều.









Giải Toán đề cương giữa học kì 2 toán 9 năm 2025 – 2026 trường thcs thọ lộc – hà nội với Đáp Án Mới Nhất
Toán học luôn là một môn học quan trọng, giúp học sinh phát triển tư duy logic và kỹ năng giải quyết vấn đề. Để hỗ trợ các bạn học sinh và giáo viên trong việc học tập và giảng dạy, bài viết này sẽ cung cấp lời giải chi tiết và đáp án chính xác cho chủ đề đề cương giữa học kì 2 toán 9 năm 2025 – 2026 trường thcs thọ lộc – hà nội, giúp bạn hiểu sâu và tự tin hơn khi làm bài tập.
đề cương giữa học kì 2 toán 9 năm 2025 – 2026 trường thcs thọ lộc – hà nội là một trong những phần kiến thức quan trọng trong chương trình toán học, thường xuất hiện trong các bài kiểm tra và kỳ thi lớn. Việc nắm vững phần này không chỉ giúp bạn đạt điểm cao mà còn tạo nền tảng vững chắc để học các nội dung nâng cao hơn.
Chúng tôi cung cấp hướng dẫn từng bước giải bài tập, bao gồm:
Mỗi bài giải đều kèm theo lời giải thích chi tiết, giúp bạn hiểu không chỉ cách làm mà còn cả lý do tại sao nên áp dụng phương pháp đó.
Tất cả các bài tập đều đi kèm đáp án mới nhất, được kiểm tra kỹ lưỡng để đảm bảo độ chính xác cao. Điều này giúp bạn tự kiểm tra kết quả và khắc phục lỗi sai một cách nhanh chóng.
Ngoài ra, bài viết còn cung cấp các tài liệu bổ trợ như:
Chủ đề đề cương giữa học kì 2 toán 9 năm 2025 – 2026 trường thcs thọ lộc – hà nội là một phần kiến thức thú vị và hữu ích trong toán học. Hãy sử dụng bài viết này như một công cụ hỗ trợ để bạn chinh phục mọi thử thách trong môn Toán. Đừng quên ôn tập thường xuyên và luyện tập nhiều dạng bài tập khác nhau để thành thạo hơn!
Chúc các bạn học tốt và đạt kết quả cao! 😊
>> Xem thêm đáp án chi tiết về: đề cương giữa học kì 2 toán 9 năm 2025 – 2026 trường thcs thọ lộc – hà nội.