giaitoan.edu.vn giới thiệu đến quý thầy, cô giáo và các em học sinh đề cương ôn thi giữa học kì 1 môn Toán 8 năm học 2025 – 2026 trường THCS Nguyễn Văn Linh, phường Tam Thắng, thành phố Hồ Chí Minh.
1. KIẾN THỨC TRỌNG TÂM
A. BIỂU THỨC ĐẠI SỐ.
– Nhận biết được đơn thức, đa thức.
– Tính giá trị đa thức khi biết giá trị của biến.
– Thu gọn đơn thức, đa thức.
– Cộng trừ đa thức.
– Nhân, chia đơn thức, đa thức.
– Nhận biết hằng đẳng thức.
– Vận dụng được các hằng đẳng thức vào các bài tập đơn giản.
– Phân tích đa thức thành nhân tử.
– Vận dụng được việc phân tích đa thức thành nhân tử vào các bài toán.
– Tìm giá trị lớn nhất, giá trị nhỏ nhất của một biểu thức, chứng minh đẳng thức.
B. CÁC HÌNH KHỐI TRONG THỰC TIỄN.
– Mô tả được hình chóp tam giác đều và hình chóp tứ giác đều.
– Tính được thể tích, diện tích xung quanh của hình chóp tam giác đều và hình chóp tứ giác đều.
– Tính được diện tích xung quanh và thể tích một số vật thể trong thực tiễn có dạng hình chóp tam giác đều và hình chóp tứ giác đều.
C. ĐỊNH LÍ PYTHAGORE. CÁC LOẠI TỨ GIÁC THƯỜNG GẶP.
– Tính được độ dài cạnh trong tam giác vuông bằng cách sử dụng định lý Pythagore.
– Giải quyết vấn đề thực tiễn gắn với việc vận dụng định lý Pythagore.
– Biết định lí tổng các góc của một tứ giác.
– Hình thang, hình thang cân và các bài toán liên quan.
2. BÀI TẬP THỰC HÀNH
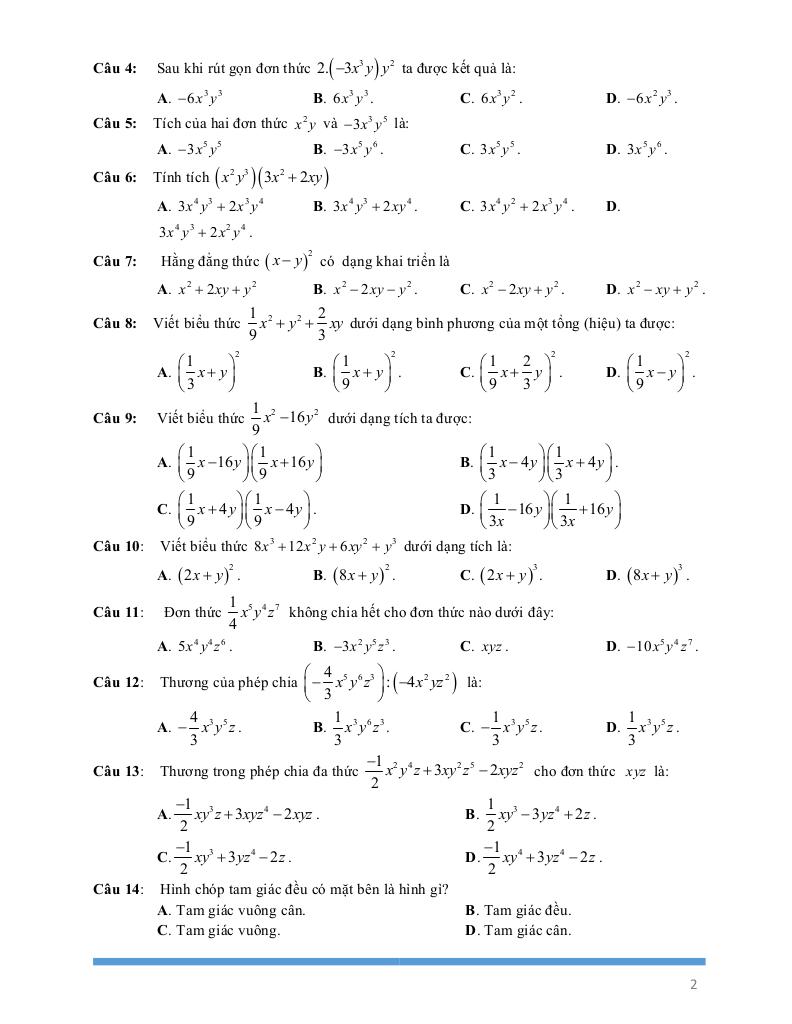
A. TRẮC NGHIỆM.
B. TỰ LUẬN.
– Phần 1. Đại số.
– Phần 2. Hình học.
– Phần 3. Bài toán thực tế.
– Phần 4. Bài toán nâng cao.









Giải Toán đề cương giữa kì 1 toán 8 năm 2025 – 2026 trường thcs nguyễn văn linh – tp hcm với Đáp Án Mới Nhất
Toán học luôn là một môn học quan trọng, giúp học sinh phát triển tư duy logic và kỹ năng giải quyết vấn đề. Để hỗ trợ các bạn học sinh và giáo viên trong việc học tập và giảng dạy, bài viết này sẽ cung cấp lời giải chi tiết và đáp án chính xác cho chủ đề đề cương giữa kì 1 toán 8 năm 2025 – 2026 trường thcs nguyễn văn linh – tp hcm, giúp bạn hiểu sâu và tự tin hơn khi làm bài tập.
đề cương giữa kì 1 toán 8 năm 2025 – 2026 trường thcs nguyễn văn linh – tp hcm là một trong những phần kiến thức quan trọng trong chương trình toán học, thường xuất hiện trong các bài kiểm tra và kỳ thi lớn. Việc nắm vững phần này không chỉ giúp bạn đạt điểm cao mà còn tạo nền tảng vững chắc để học các nội dung nâng cao hơn.
Chúng tôi cung cấp hướng dẫn từng bước giải bài tập, bao gồm:
Mỗi bài giải đều kèm theo lời giải thích chi tiết, giúp bạn hiểu không chỉ cách làm mà còn cả lý do tại sao nên áp dụng phương pháp đó.
Tất cả các bài tập đều đi kèm đáp án mới nhất, được kiểm tra kỹ lưỡng để đảm bảo độ chính xác cao. Điều này giúp bạn tự kiểm tra kết quả và khắc phục lỗi sai một cách nhanh chóng.
Ngoài ra, bài viết còn cung cấp các tài liệu bổ trợ như:
Chủ đề đề cương giữa kì 1 toán 8 năm 2025 – 2026 trường thcs nguyễn văn linh – tp hcm là một phần kiến thức thú vị và hữu ích trong toán học. Hãy sử dụng bài viết này như một công cụ hỗ trợ để bạn chinh phục mọi thử thách trong môn Toán. Đừng quên ôn tập thường xuyên và luyện tập nhiều dạng bài tập khác nhau để thành thạo hơn!
Chúc các bạn học tốt và đạt kết quả cao! 😊
>> Xem thêm đáp án chi tiết về: đề cương giữa kì 1 toán 8 năm 2025 – 2026 trường thcs nguyễn văn linh – tp hcm.