giaitoan.edu.vn giới thiệu đến quý thầy, cô giáo và các em học sinh đề cương ôn tập giữa học kì 2 môn Toán 7 năm học 2025 – 2026 trường THCS Thanh An, tỉnh Quảng Trị.
A. KIẾN THỨC
1/ Tỉ lệ thức và dãy tỉ số bằng nhau.
Nhận biết:
+ Nhận biết được tỉ lệ thức và các tính chất của tỉ lệ thức.
+ Nhận biết được dãy tỉ số bằng nhau.
Thông hiểu:
+ Giải thích được cách tìm các số khi biết tổng và tỉ lệ giữa chúng.
+ Biết được khi nào sử dụng tỉ lệ thức, khi nào sử dụng dãy tỉ số bằng nhau trong giải toán.
Vận dụng:
+ Vận dụng được tính chất của tỉ lệ thức trong giải toán.
2/ Giải toán về đại lượng tỉ lệ.
Thông hiểu:
+ Nhận diện, giải thích được mối quan hệ tỉ lệ thuận hoặc tỉ lệ nghịch giữa hai đại lượng trong những tình huống quen thuộc.
Vận dụng:
+ Giải được một số bài toán đơn giản về đại lượng tỉ lệ thuận (ví dụ: bài toán về tổng sản phẩm thu được và năng suất lao động,…).
+ Giải được một số bài toán đơn giản về đại lượng tỉ lệ nghịch (ví dụ: bài toán về thời gian hoàn thành kế hoạch và năng suất lao động,…).
3/ Biểu thức đại số.
Nhận biết:
+ Nhận biết được biểu thức số.
+ Nhận biết được biểu thức đại số.
Vận dụng:
+ Tính được giá trị của một biểu thức đại số.
4/ Đa thức một biến.
Nhận biết:
+ Nhận biết được định nghĩa đa thức một biến.
+ Nhận biết được cách biểu diễn đa thức một biến.
+ Nhận biết được khái niệm nghiệm của đa thức một biến.
Thông hiểu:
+ Thu gọn đa thức, Xác định được bậc của đa thức một biến.
Vận dụng:
+ Tính được giá trị của đa thức khi biết giá trị của biến đơn giản.
+ Thực hiện được các phép tính: phép cộng, phép trừ, phép nhân, phép chia trong tập hợp các đa thức một biến; vận dụng được những tính chất của các phép tính đó trong tính toán.
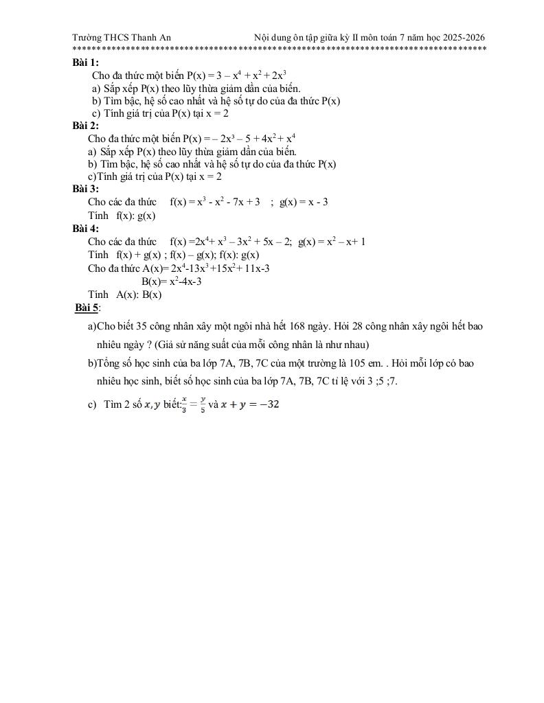
B. BÀI TẬP



Giải Toán đề cương giữa kì 2 toán 7 năm 2025 – 2026 trường thcs thanh an – quảng trị với Đáp Án Mới Nhất
Toán học luôn là một môn học quan trọng, giúp học sinh phát triển tư duy logic và kỹ năng giải quyết vấn đề. Để hỗ trợ các bạn học sinh và giáo viên trong việc học tập và giảng dạy, bài viết này sẽ cung cấp lời giải chi tiết và đáp án chính xác cho chủ đề đề cương giữa kì 2 toán 7 năm 2025 – 2026 trường thcs thanh an – quảng trị, giúp bạn hiểu sâu và tự tin hơn khi làm bài tập.
đề cương giữa kì 2 toán 7 năm 2025 – 2026 trường thcs thanh an – quảng trị là một trong những phần kiến thức quan trọng trong chương trình toán học, thường xuất hiện trong các bài kiểm tra và kỳ thi lớn. Việc nắm vững phần này không chỉ giúp bạn đạt điểm cao mà còn tạo nền tảng vững chắc để học các nội dung nâng cao hơn.
Chúng tôi cung cấp hướng dẫn từng bước giải bài tập, bao gồm:
Mỗi bài giải đều kèm theo lời giải thích chi tiết, giúp bạn hiểu không chỉ cách làm mà còn cả lý do tại sao nên áp dụng phương pháp đó.
Tất cả các bài tập đều đi kèm đáp án mới nhất, được kiểm tra kỹ lưỡng để đảm bảo độ chính xác cao. Điều này giúp bạn tự kiểm tra kết quả và khắc phục lỗi sai một cách nhanh chóng.
Ngoài ra, bài viết còn cung cấp các tài liệu bổ trợ như:
Chủ đề đề cương giữa kì 2 toán 7 năm 2025 – 2026 trường thcs thanh an – quảng trị là một phần kiến thức thú vị và hữu ích trong toán học. Hãy sử dụng bài viết này như một công cụ hỗ trợ để bạn chinh phục mọi thử thách trong môn Toán. Đừng quên ôn tập thường xuyên và luyện tập nhiều dạng bài tập khác nhau để thành thạo hơn!
Chúc các bạn học tốt và đạt kết quả cao! 😊
>> Xem thêm đáp án chi tiết về: đề cương giữa kì 2 toán 7 năm 2025 – 2026 trường thcs thanh an – quảng trị.