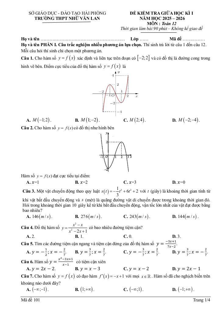
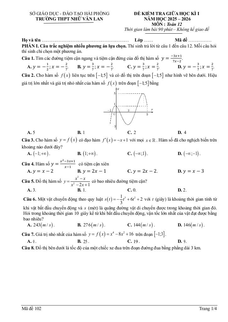
giaitoan.edu.vn giới thiệu đến quý thầy, cô giáo và các em học sinh đề kiểm tra giữa học kì 1 môn Toán 12 năm học 2025 – 2026 trường THPT Nhữ Văn Lan, thành phố Hải Phòng. Đề thi gồm 12 câu trắc nghiệm nhiều phương án lựa chọn + 04 câu trắc nghiệm đúng sai + 06 câu trắc nghiệm trả lời ngắn, thời gian làm bài 90 phút, có đáp án mã đề 101 – 102.
Trích dẫn Đề giữa học kì 1 Toán 12 năm 2025 – 2026 trường THPT Nhữ Văn Lan – Hải Phòng:
+ Một công ty bất động sản có 120 căn hộ cho thuê. Biết rằng nếu cho thuê mỗi căn hộ với giá 3.000.000 đồng mỗi tháng thì mọi căn hộ đều có người thuê và cứ mỗi lần tăng giá cho thuê mỗi căn hộ 100.000 đồng mỗi tháng thì có thêm 3 căn hộ bị bỏ trống. Muốn có lợi nhuận cao nhất, công ty đó phải cho thuê với giá mỗi căn hộ là bao nhiêu (đơn vị tính bằng triệu đồng và làm tròn kết quả tới hàng phần chục)?
+ Ông A dự định sử dụng hết 5 m2 kính để làm một bể cá bằng kính có dạng hình hộp chữ nhật không nắp, chiều dài gấp đôi chiều rộng (các mối ghép có kích thước không đáng kể). Bể cá có dung tích lớn nhất bằng bao nhiêu (kết quả làm tròn đến hàng phần trăm)?
+ Một vật chuyển động theo quy luật s = -1/3t3 + 4t2 với t (giây) là khoảng thời gian tính từ khi vật bắt đầu chuyển động và s(mét) là quãng đường vật di chuyển được trong khoảng thời gian đó. Mệnh đề nào đúng, mệnh đề nào sai? a) Vận tốc của vật sau 3 giây là 15 m/s. b) Quãng đường vật chuyển động được sau 5 giây là 58,3 m. c) Tốc độ thay đổi tức thời của vận tốc theo thời gian là gia tốc tức thời của vật: a(t) = 3t + 8. d) Trong khoảng thời gian 6 giây, kể từ khi bắt đầu chuyển động, vận tốc lớn nhất của vật đạt được bằng 24 (m/s).
File WORD (dành cho quý thầy, cô): TẢI XUỐNG










Giải Toán đề giữa học kì 1 toán 12 năm 2025 – 2026 trường thpt nhữ văn lan – hải phòng với Đáp Án Mới Nhất
Toán học luôn là một môn học quan trọng, giúp học sinh phát triển tư duy logic và kỹ năng giải quyết vấn đề. Để hỗ trợ các bạn học sinh và giáo viên trong việc học tập và giảng dạy, bài viết này sẽ cung cấp lời giải chi tiết và đáp án chính xác cho chủ đề đề giữa học kì 1 toán 12 năm 2025 – 2026 trường thpt nhữ văn lan – hải phòng, giúp bạn hiểu sâu và tự tin hơn khi làm bài tập.
đề giữa học kì 1 toán 12 năm 2025 – 2026 trường thpt nhữ văn lan – hải phòng là một trong những phần kiến thức quan trọng trong chương trình toán học, thường xuất hiện trong các bài kiểm tra và kỳ thi lớn. Việc nắm vững phần này không chỉ giúp bạn đạt điểm cao mà còn tạo nền tảng vững chắc để học các nội dung nâng cao hơn.
Chúng tôi cung cấp hướng dẫn từng bước giải bài tập, bao gồm:
Mỗi bài giải đều kèm theo lời giải thích chi tiết, giúp bạn hiểu không chỉ cách làm mà còn cả lý do tại sao nên áp dụng phương pháp đó.
Tất cả các bài tập đều đi kèm đáp án mới nhất, được kiểm tra kỹ lưỡng để đảm bảo độ chính xác cao. Điều này giúp bạn tự kiểm tra kết quả và khắc phục lỗi sai một cách nhanh chóng.
Ngoài ra, bài viết còn cung cấp các tài liệu bổ trợ như:
Chủ đề đề giữa học kì 1 toán 12 năm 2025 – 2026 trường thpt nhữ văn lan – hải phòng là một phần kiến thức thú vị và hữu ích trong toán học. Hãy sử dụng bài viết này như một công cụ hỗ trợ để bạn chinh phục mọi thử thách trong môn Toán. Đừng quên ôn tập thường xuyên và luyện tập nhiều dạng bài tập khác nhau để thành thạo hơn!
Chúc các bạn học tốt và đạt kết quả cao! 😊
>> Xem thêm đáp án chi tiết về: đề giữa học kì 1 toán 12 năm 2025 – 2026 trường thpt nhữ văn lan – hải phòng.