giaitoan.edu.vn giới thiệu đến quý thầy, cô giáo và các em học sinh đề kiểm tra đánh giá giữa học kì 1 môn Toán 7 năm học 2025 – 2026 trường THCS Bát Tràng, xã Bát Tràng, thành phố Hà Nội. Đề thi có đáp án, lời giải chi tiết và hướng dẫn chấm điểm.
Trích dẫn Đề giữa học kì 1 Toán 7 năm 2025 – 2026 trường THCS Bát Tràng – Hà Nội:
+ Để chuẩn bị năm học mới, bạn An dự định mua 10 quyển vở, giá 12 000 đồng/quyển và 6 cây bút bi, giá 5 000 đồng/cây. Tuy nhiên, khi An đến cửa hàng, toàn bộ sản phẩm đang được giảm giá 20%. a) Tính số tiền bạn An được giảm? b) Giả sử bạn An mang theo 160 000 đồng. Hỏi cửa hàng phải trả lại An bao nhiêu tiền?
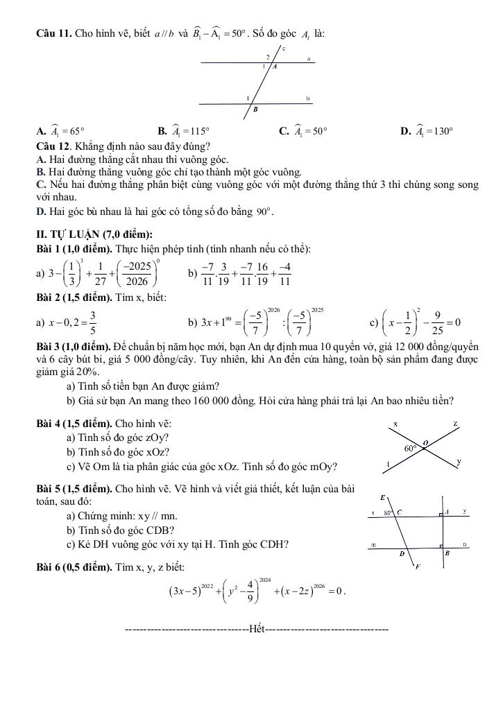
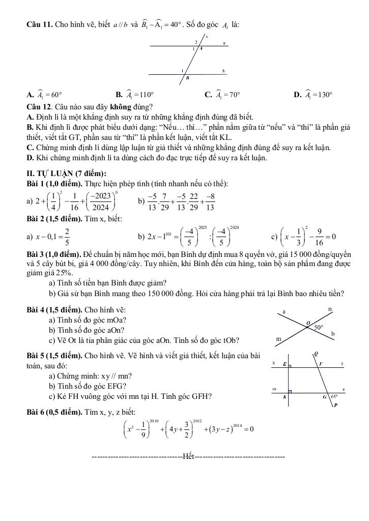
+ Cho hình vẽ: a) Tính số đo góc zOy? b) Tính số đo góc xOz? c) Vẽ Om là tia phân giác của góc xOz. Tính số đo góc mOy?
+ Cho hình vẽ. Vẽ hình và viết giả thiết, kết luận của bài toán, sau đó: a) Chứng minh: xy // mn. b) Tính số đo góc CDB? c) Kẻ DH vuông góc với xy tại H. Tính góc CDH?
File WORD (dành cho quý thầy, cô): TẢI XUỐNG







Giải Toán đề giữa học kì 1 toán 7 năm 2025 – 2026 trường thcs bát tràng – hà nội với Đáp Án Mới Nhất
Toán học luôn là một môn học quan trọng, giúp học sinh phát triển tư duy logic và kỹ năng giải quyết vấn đề. Để hỗ trợ các bạn học sinh và giáo viên trong việc học tập và giảng dạy, bài viết này sẽ cung cấp lời giải chi tiết và đáp án chính xác cho chủ đề đề giữa học kì 1 toán 7 năm 2025 – 2026 trường thcs bát tràng – hà nội, giúp bạn hiểu sâu và tự tin hơn khi làm bài tập.
đề giữa học kì 1 toán 7 năm 2025 – 2026 trường thcs bát tràng – hà nội là một trong những phần kiến thức quan trọng trong chương trình toán học, thường xuất hiện trong các bài kiểm tra và kỳ thi lớn. Việc nắm vững phần này không chỉ giúp bạn đạt điểm cao mà còn tạo nền tảng vững chắc để học các nội dung nâng cao hơn.
Chúng tôi cung cấp hướng dẫn từng bước giải bài tập, bao gồm:
Mỗi bài giải đều kèm theo lời giải thích chi tiết, giúp bạn hiểu không chỉ cách làm mà còn cả lý do tại sao nên áp dụng phương pháp đó.
Tất cả các bài tập đều đi kèm đáp án mới nhất, được kiểm tra kỹ lưỡng để đảm bảo độ chính xác cao. Điều này giúp bạn tự kiểm tra kết quả và khắc phục lỗi sai một cách nhanh chóng.
Ngoài ra, bài viết còn cung cấp các tài liệu bổ trợ như:
Chủ đề đề giữa học kì 1 toán 7 năm 2025 – 2026 trường thcs bát tràng – hà nội là một phần kiến thức thú vị và hữu ích trong toán học. Hãy sử dụng bài viết này như một công cụ hỗ trợ để bạn chinh phục mọi thử thách trong môn Toán. Đừng quên ôn tập thường xuyên và luyện tập nhiều dạng bài tập khác nhau để thành thạo hơn!
Chúc các bạn học tốt và đạt kết quả cao! 😊
>> Xem thêm đáp án chi tiết về: đề giữa học kì 1 toán 7 năm 2025 – 2026 trường thcs bát tràng – hà nội.