giaitoan.edu.vn giới thiệu đến quý thầy, cô giáo và các em học sinh đề chính thức kiểm tra giữa học kỳ 1 môn Toán 10 năm học 2025 – 2026 trường THPT Việt Đức, thành phố Hà Nội. Kỳ thi được diễn ra vào tháng 10 năm 2025.
Trích dẫn Đề giữa học kỳ 1 Toán 10 năm 2025 – 2026 trường THPT Việt Đức – Hà Nội:
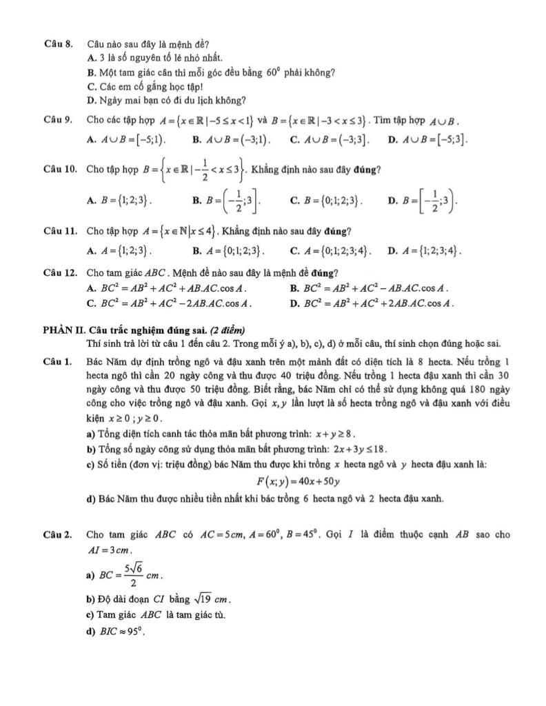
+ Bác Năm dự định trồng ngô và đậu xanh trên một mảnh đất có diện tích là 8 hecta. Nếu trồng 1 hecta ngô thì cần 20 ngày công và thu được 40 triệu đồng. Nếu trồng 1 hecta đậu xanh thì cần 30 ngày công và thu được 50 triệu đồng. Biết rằng, bác Năm chỉ có thể sử dụng không quá 180 ngày công cho việc trồng ngô và đậu xanh. Gọi x, y lần lượt là số hecta trồng ngô và đậu xanh với điều kiện x ≥ 0; y ≥ 0. a) Tổng diện tích canh tác thỏa mãn bất phương trình: x + y ≥ 8. b) Tổng số ngày công sử dụng thỏa mãn bất phương trình: 2x + 3y ≤ 18. c) Số tiền (đơn vị: triệu đồng) bác Năm thu được khi trồng x hecta ngô và y hecta đậu xanh là: F(x;y) = 40x + 50y. d) Bác Năm thu được nhiều tiền nhất khi bác trồng 6 hecta ngô và 2 hecta đậu xanh.
+ Vào lúc 6 giờ sáng, một tàu đánh cá xuất phát từ cảng A, đi theo hướng N70°E với vận tốc 50 km/h. Lúc 8 giờ sáng, một tàu du lịch cũng xuất phát từ cảng A, đi theo hướng N30°W với vận tốc 70 km/h. Sau 3 giờ kể từ khi tàu đánh cá xuất phát thì tàu đánh cá chuyển hướng đi về hướng bắc với vận tốc 40 km/h. Hỏi đến 11 giờ tàu du lịch cách tàu đánh cá bao nhiêu kilomet? (Kết quả làm tròn đến hàng đơn vị).
+ Tại vòng chung kết của một trò chơi trên truyền hình, có 100 khán giả tại trường quay có quyền bình chọn cho hai thí sinh A và B. Biết rằng có 85 khán giả bình chọn cho thí sinh A, 72 khán giả bình chọn cho thí sinh B và 65 khán giả bình chọn cho cả hai thí sinh. Có bao nhiêu khán giả đã tham gia bình chọn, bao nhiêu khán giả không tham gia bình chọn?



Giải Toán đề giữa học kỳ 1 toán 10 năm 2025 – 2026 trường thpt việt đức – hà nội với Đáp Án Mới Nhất
Toán học luôn là một môn học quan trọng, giúp học sinh phát triển tư duy logic và kỹ năng giải quyết vấn đề. Để hỗ trợ các bạn học sinh và giáo viên trong việc học tập và giảng dạy, bài viết này sẽ cung cấp lời giải chi tiết và đáp án chính xác cho chủ đề đề giữa học kỳ 1 toán 10 năm 2025 – 2026 trường thpt việt đức – hà nội, giúp bạn hiểu sâu và tự tin hơn khi làm bài tập.
đề giữa học kỳ 1 toán 10 năm 2025 – 2026 trường thpt việt đức – hà nội là một trong những phần kiến thức quan trọng trong chương trình toán học, thường xuất hiện trong các bài kiểm tra và kỳ thi lớn. Việc nắm vững phần này không chỉ giúp bạn đạt điểm cao mà còn tạo nền tảng vững chắc để học các nội dung nâng cao hơn.
Chúng tôi cung cấp hướng dẫn từng bước giải bài tập, bao gồm:
Mỗi bài giải đều kèm theo lời giải thích chi tiết, giúp bạn hiểu không chỉ cách làm mà còn cả lý do tại sao nên áp dụng phương pháp đó.
Tất cả các bài tập đều đi kèm đáp án mới nhất, được kiểm tra kỹ lưỡng để đảm bảo độ chính xác cao. Điều này giúp bạn tự kiểm tra kết quả và khắc phục lỗi sai một cách nhanh chóng.
Ngoài ra, bài viết còn cung cấp các tài liệu bổ trợ như:
Chủ đề đề giữa học kỳ 1 toán 10 năm 2025 – 2026 trường thpt việt đức – hà nội là một phần kiến thức thú vị và hữu ích trong toán học. Hãy sử dụng bài viết này như một công cụ hỗ trợ để bạn chinh phục mọi thử thách trong môn Toán. Đừng quên ôn tập thường xuyên và luyện tập nhiều dạng bài tập khác nhau để thành thạo hơn!
Chúc các bạn học tốt và đạt kết quả cao! 😊
>> Xem thêm đáp án chi tiết về: đề giữa học kỳ 1 toán 10 năm 2025 – 2026 trường thpt việt đức – hà nội.