giaitoan.edu.vn giới thiệu đến quý thầy, cô giáo và các em học sinh đề kiểm tra giữa học kỳ 1 môn Toán 7 năm học 2025 – 2026 trường THCS Phú Lâm, xã Tiên Du, tỉnh Bắc Ninh. Đề thi hình thức 50% trắc nghiệm kết hợp 50% tự luận, thời gian làm bài 90 phút.
Trích dẫn Đề giữa học kỳ 1 Toán 7 năm 2025 – 2026 trường THCS Phú Lâm – Bắc Ninh:
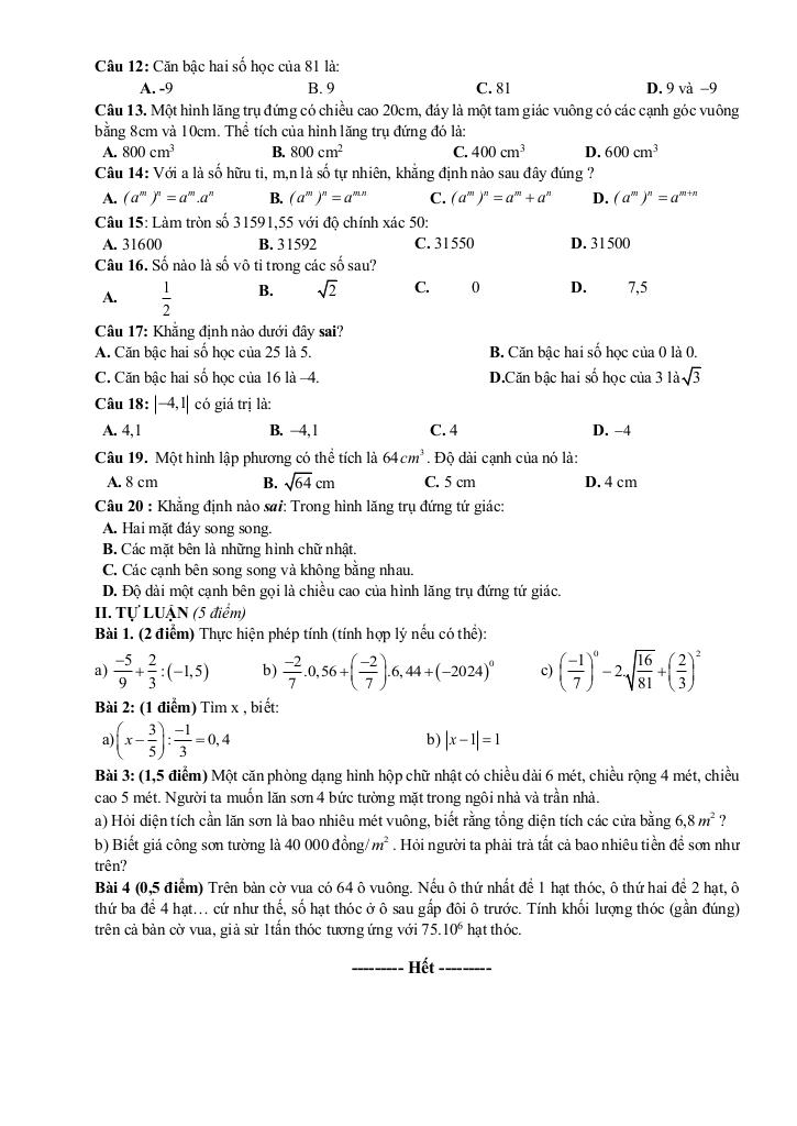
+ Một căn phòng dạng hình hộp chữ nhật có chiều dài 6 mét, chiều rộng 4 mét, chiều cao 5 mét. Người ta muốn lăn sơn 4 bức tường mặt trong ngôi nhà và trần nhà. a) Hỏi diện tích cần lăn sơn là bao nhiêu mét vuông, biết rằng tổng diện tích các cửa bằng 6,8 m2? b) Biết giá công sơn tường là 40 000 đồng/m2. Hỏi người ta phải trả tất cả bao nhiêu tiền để sơn như trên?
+ Trên bàn cờ vua có 64 ô vuông. Nếu ô thứ nhất để 1 hạt thóc, ô thứ hai để 2 hạt, ô thứ ba để 4 hạt … cứ như thế, số hạt thóc ở ô sau gấp đôi ô trước. Tính khối lượng thóc (gần đúng) trên cả bàn cờ vua, giả sử 1tấn thóc tương ứng với 75.106 hạt thóc.
+ Khẳng định nào sai: Trong hình lăng trụ đứng tứ giác: A. Hai mặt đáy song song. B. Các mặt bên là những hình chữ nhật. C. Các cạnh bên song song và không bằng nhau. D. Độ dài một cạnh bên gọi là chiều cao của hình lăng trụ đứng tứ giác.


Giải Toán đề giữa học kỳ 1 toán 7 năm 2025 – 2026 trường thcs phú lâm – bắc ninh với Đáp Án Mới Nhất
Toán học luôn là một môn học quan trọng, giúp học sinh phát triển tư duy logic và kỹ năng giải quyết vấn đề. Để hỗ trợ các bạn học sinh và giáo viên trong việc học tập và giảng dạy, bài viết này sẽ cung cấp lời giải chi tiết và đáp án chính xác cho chủ đề đề giữa học kỳ 1 toán 7 năm 2025 – 2026 trường thcs phú lâm – bắc ninh, giúp bạn hiểu sâu và tự tin hơn khi làm bài tập.
đề giữa học kỳ 1 toán 7 năm 2025 – 2026 trường thcs phú lâm – bắc ninh là một trong những phần kiến thức quan trọng trong chương trình toán học, thường xuất hiện trong các bài kiểm tra và kỳ thi lớn. Việc nắm vững phần này không chỉ giúp bạn đạt điểm cao mà còn tạo nền tảng vững chắc để học các nội dung nâng cao hơn.
Chúng tôi cung cấp hướng dẫn từng bước giải bài tập, bao gồm:
Mỗi bài giải đều kèm theo lời giải thích chi tiết, giúp bạn hiểu không chỉ cách làm mà còn cả lý do tại sao nên áp dụng phương pháp đó.
Tất cả các bài tập đều đi kèm đáp án mới nhất, được kiểm tra kỹ lưỡng để đảm bảo độ chính xác cao. Điều này giúp bạn tự kiểm tra kết quả và khắc phục lỗi sai một cách nhanh chóng.
Ngoài ra, bài viết còn cung cấp các tài liệu bổ trợ như:
Chủ đề đề giữa học kỳ 1 toán 7 năm 2025 – 2026 trường thcs phú lâm – bắc ninh là một phần kiến thức thú vị và hữu ích trong toán học. Hãy sử dụng bài viết này như một công cụ hỗ trợ để bạn chinh phục mọi thử thách trong môn Toán. Đừng quên ôn tập thường xuyên và luyện tập nhiều dạng bài tập khác nhau để thành thạo hơn!
Chúc các bạn học tốt và đạt kết quả cao! 😊
>> Xem thêm đáp án chi tiết về: đề giữa học kỳ 1 toán 7 năm 2025 – 2026 trường thcs phú lâm – bắc ninh.