giaitoan.edu.vn giới thiệu đến quý thầy, cô giáo và các em học sinh đề kiểm tra giữa học kỳ 1 môn Toán 8 năm học 2025 – 2026 trường THCS Nguyễn Trường Tộ, thành phố Hà Nội. Đề thi gồm 02 trang, cấu trúc 20% trắc nghiệm kết hợp 80% tự luận, thời gian làm bài 90 phút.
Trích dẫn Đề giữa học kỳ 1 Toán 8 năm 2025 – 2026 trường THCS Nguyễn Trường Tộ – Hà Nội:
+ Cho tam giác ABC vuông tại A (AB < AC), đường cao AH. Gọi M là trung điểm đoạn thẳng HC. Trên tia đối của tia MA, lấy điểm D sao cho MD = MA. a) Chứng minh tứ giác AHDC là hình bình hành. b) Gọi N, K lần lượt là trung điểm của các đoạn thẳng AH và CD. Chứng minh HK // NC và M là trung điểm của NK. c) Từ K kẻ đường thẳng vuông góc với AD cắt HD tại Q. Chứng minh BNM = KQH.
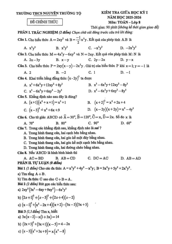
+ Trong các khẳng định sau, khẳng định nào là sai? A. Trong hình thang cân, hai cạnh bên bằng nhau. B. Trong hình thang cân, hai góc kề một đáy bằng nhau. C. Trong hình thang cân, hai góc kề một cạnh bên bằng nhau. D. Trong hình thang cân, hai đường chéo bằng nhau.


Giải Toán đề giữa học kỳ 1 toán 8 năm 2025 – 2026 trường thcs nguyễn trường tộ – hà nội với Đáp Án Mới Nhất
Toán học luôn là một môn học quan trọng, giúp học sinh phát triển tư duy logic và kỹ năng giải quyết vấn đề. Để hỗ trợ các bạn học sinh và giáo viên trong việc học tập và giảng dạy, bài viết này sẽ cung cấp lời giải chi tiết và đáp án chính xác cho chủ đề đề giữa học kỳ 1 toán 8 năm 2025 – 2026 trường thcs nguyễn trường tộ – hà nội, giúp bạn hiểu sâu và tự tin hơn khi làm bài tập.
đề giữa học kỳ 1 toán 8 năm 2025 – 2026 trường thcs nguyễn trường tộ – hà nội là một trong những phần kiến thức quan trọng trong chương trình toán học, thường xuất hiện trong các bài kiểm tra và kỳ thi lớn. Việc nắm vững phần này không chỉ giúp bạn đạt điểm cao mà còn tạo nền tảng vững chắc để học các nội dung nâng cao hơn.
Chúng tôi cung cấp hướng dẫn từng bước giải bài tập, bao gồm:
Mỗi bài giải đều kèm theo lời giải thích chi tiết, giúp bạn hiểu không chỉ cách làm mà còn cả lý do tại sao nên áp dụng phương pháp đó.
Tất cả các bài tập đều đi kèm đáp án mới nhất, được kiểm tra kỹ lưỡng để đảm bảo độ chính xác cao. Điều này giúp bạn tự kiểm tra kết quả và khắc phục lỗi sai một cách nhanh chóng.
Ngoài ra, bài viết còn cung cấp các tài liệu bổ trợ như:
Chủ đề đề giữa học kỳ 1 toán 8 năm 2025 – 2026 trường thcs nguyễn trường tộ – hà nội là một phần kiến thức thú vị và hữu ích trong toán học. Hãy sử dụng bài viết này như một công cụ hỗ trợ để bạn chinh phục mọi thử thách trong môn Toán. Đừng quên ôn tập thường xuyên và luyện tập nhiều dạng bài tập khác nhau để thành thạo hơn!
Chúc các bạn học tốt và đạt kết quả cao! 😊
>> Xem thêm đáp án chi tiết về: đề giữa học kỳ 1 toán 8 năm 2025 – 2026 trường thcs nguyễn trường tộ – hà nội.