giaitoan.edu.vn giới thiệu đến quý thầy, cô giáo và các em học sinh đề kiểm tra giữa học kỳ 1 môn Toán 9 năm học 2025 – 2026 trường TH&THCS Vạn An, phường Kinh Bắc, tỉnh Bắc Ninh. Đề thi hình thức 50% trắc nghiệm kết hợp 50% tự luận, thời gian làm bài 90 phút, có đáp án và hướng dẫn chấm điểm.
Trích dẫn Đề giữa học kỳ 1 Toán 9 năm 2025 – 2026 trường TH&THCS Vạn An – Bắc Ninh:
+ Hãy tính chiều cao của tháp Eiffel mà không cần lên tận đỉnh tháp khi biết góc tạo bởi tia nắng mặt trời và mặt đất là 62 độ và bóng tháp trên mặt đất khi đó là 172 m (làm tròn kết quả tới chữ số thập phân thứ nhất).
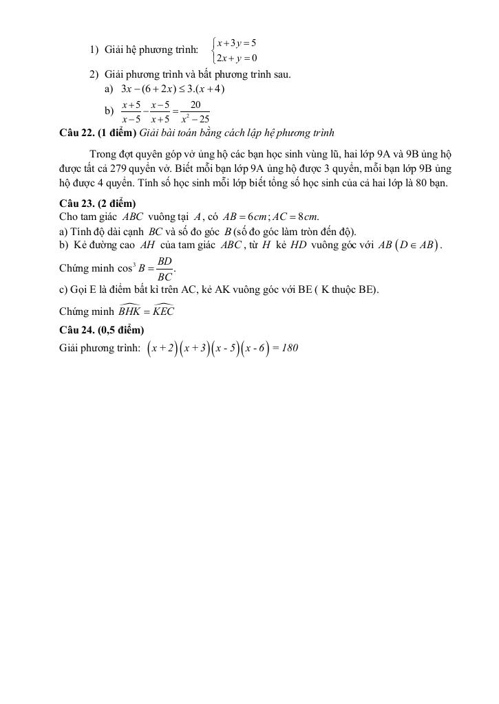
+ Giải bài toán bằng cách lập hệ phương trình: Trong đợt quyên góp vở ủng hộ các bạn học sinh vùng lũ, hai lớp 9A và 9B ủng hộ được tất cả 279 quyển vở. Biết mỗi bạn lớp 9A ủng hộ được 3 quyển, mỗi bạn lớp 9B ủng hộ được 4 quyển. Tính số học sinh mỗi lớp biết tổng số học sinh của cả hai lớp là 80 bạn.
+ Cho tam giác ABC vuông tại A, có AB = 6cm; AC = 8cm. a) Tính độ dài cạnh BC và số đo góc B(số đo góc làm tròn đến độ). b) Kẻ đường cao AH của tam giác ABC, từ H kẻ HD vuông góc với AB (D ∈ AB). Chứng minh cos3B = BD/BC. c) Gọi E là điểm bất kì trên AC, kẻ AK vuông góc với BE (K thuộc BE). Chứng minh BHK = KEC.
File WORD (dành cho quý thầy, cô): TẢI XUỐNG









Giải Toán đề giữa học kỳ 1 toán 9 năm 2025 – 2026 trường th&thcs vạn an – bắc ninh với Đáp Án Mới Nhất
Toán học luôn là một môn học quan trọng, giúp học sinh phát triển tư duy logic và kỹ năng giải quyết vấn đề. Để hỗ trợ các bạn học sinh và giáo viên trong việc học tập và giảng dạy, bài viết này sẽ cung cấp lời giải chi tiết và đáp án chính xác cho chủ đề đề giữa học kỳ 1 toán 9 năm 2025 – 2026 trường th&thcs vạn an – bắc ninh, giúp bạn hiểu sâu và tự tin hơn khi làm bài tập.
đề giữa học kỳ 1 toán 9 năm 2025 – 2026 trường th&thcs vạn an – bắc ninh là một trong những phần kiến thức quan trọng trong chương trình toán học, thường xuất hiện trong các bài kiểm tra và kỳ thi lớn. Việc nắm vững phần này không chỉ giúp bạn đạt điểm cao mà còn tạo nền tảng vững chắc để học các nội dung nâng cao hơn.
Chúng tôi cung cấp hướng dẫn từng bước giải bài tập, bao gồm:
Mỗi bài giải đều kèm theo lời giải thích chi tiết, giúp bạn hiểu không chỉ cách làm mà còn cả lý do tại sao nên áp dụng phương pháp đó.
Tất cả các bài tập đều đi kèm đáp án mới nhất, được kiểm tra kỹ lưỡng để đảm bảo độ chính xác cao. Điều này giúp bạn tự kiểm tra kết quả và khắc phục lỗi sai một cách nhanh chóng.
Ngoài ra, bài viết còn cung cấp các tài liệu bổ trợ như:
Chủ đề đề giữa học kỳ 1 toán 9 năm 2025 – 2026 trường th&thcs vạn an – bắc ninh là một phần kiến thức thú vị và hữu ích trong toán học. Hãy sử dụng bài viết này như một công cụ hỗ trợ để bạn chinh phục mọi thử thách trong môn Toán. Đừng quên ôn tập thường xuyên và luyện tập nhiều dạng bài tập khác nhau để thành thạo hơn!
Chúc các bạn học tốt và đạt kết quả cao! 😊
>> Xem thêm đáp án chi tiết về: đề giữa học kỳ 1 toán 9 năm 2025 – 2026 trường th&thcs vạn an – bắc ninh.