Logo Header
  1. Môn Toán
  2. đề giữa học kỳ 2 toán 10 năm 2025 – 2026 trường thpt hùng vương – đà nẵng

đề giữa học kỳ 2 toán 10 năm 2025 – 2026 trường thpt hùng vương – đà nẵng

Quý độc giả đang tham khảo tài liệu , được biên soạn bám sát chuẩn học toán mới nhất. Nội dung được cấu trúc chặt chẽ, phân tầng từ cơ bản đến nâng cao, hỗ trợ củng cố và mở rộng kiến thức toán học một cách hệ thống. Hãy tận dụng tối đa tài liệu này để nâng cao hiệu quả học tập và chinh phục mọi kỳ kiểm tra, kỳ thi với kết quả xuất sắc.

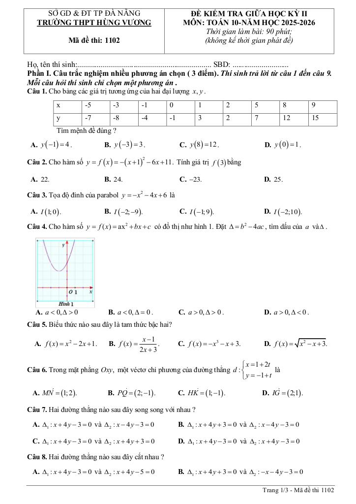
giaitoan.edu.vn giới thiệu đến quý thầy, cô giáo và các em học sinh đề kiểm tra giữa học kỳ 2 môn Toán 10 năm học 2025 – 2026 trường THPT Hùng Vương, thành phố Đà Nẵng. Đề thi có đáp án và hướng dẫn chấm điểm.

Xây dựng nền tảng Toán THPT vững vàng từ hôm nay! Đừng bỏ lỡ đề giữa học kỳ 2 toán 10 năm 2025 – 2026 trường thpt hùng vương – đà nẵng đặc sắc thuộc chuyên mục toán 10 trên nền tảng học toán. Với bộ bài tập toán thpt được biên soạn chuyên sâu, bám sát chương trình Toán lớp 10, đây chính là "kim chỉ nam" giúp các em tối ưu hóa ôn luyện, củng cố kiến thức cốt lõi và chuẩn bị hành trang vững chắc cho tương lai. Phương pháp học trực quan, logic sẽ mang lại hiệu quả vượt trội trên lộ trình chinh phục đại học!

Hình Ảnh Chi Tiết

images-post/de-giua-hoc-ky-2-toan-10-nam-2025-2026-truong-thpt-hung-vuong-da-nang-01.jpgimages-post/de-giua-hoc-ky-2-toan-10-nam-2025-2026-truong-thpt-hung-vuong-da-nang-02.jpgimages-post/de-giua-hoc-ky-2-toan-10-nam-2025-2026-truong-thpt-hung-vuong-da-nang-03.jpgimages-post/de-giua-hoc-ky-2-toan-10-nam-2025-2026-truong-thpt-hung-vuong-da-nang-04.jpgimages-post/de-giua-hoc-ky-2-toan-10-nam-2025-2026-truong-thpt-hung-vuong-da-nang-05.jpgimages-post/de-giua-hoc-ky-2-toan-10-nam-2025-2026-truong-thpt-hung-vuong-da-nang-06.jpgimages-post/de-giua-hoc-ky-2-toan-10-nam-2025-2026-truong-thpt-hung-vuong-da-nang-07.jpgimages-post/de-giua-hoc-ky-2-toan-10-nam-2025-2026-truong-thpt-hung-vuong-da-nang-08.jpgimages-post/de-giua-hoc-ky-2-toan-10-nam-2025-2026-truong-thpt-hung-vuong-da-nang-09.jpgimages-post/de-giua-hoc-ky-2-toan-10-nam-2025-2026-truong-thpt-hung-vuong-da-nang-10.jpg

File đề giữa học kỳ 2 toán 10 năm 2025 – 2026 trường thpt hùng vương – đà nẵng PDF Chi Tiết

Giải Toán đề giữa học kỳ 2 toán 10 năm 2025 – 2026 trường thpt hùng vương – đà nẵng với Đáp Án Mới Nhất

Toán học luôn là một môn học quan trọng, giúp học sinh phát triển tư duy logic và kỹ năng giải quyết vấn đề. Để hỗ trợ các bạn học sinh và giáo viên trong việc học tập và giảng dạy, bài viết này sẽ cung cấp lời giải chi tiết và đáp án chính xác cho chủ đề đề giữa học kỳ 2 toán 10 năm 2025 – 2026 trường thpt hùng vương – đà nẵng, giúp bạn hiểu sâu và tự tin hơn khi làm bài tập.

1. Tổng Quan về Chủ Đề đề giữa học kỳ 2 toán 10 năm 2025 – 2026 trường thpt hùng vương – đà nẵng

đề giữa học kỳ 2 toán 10 năm 2025 – 2026 trường thpt hùng vương – đà nẵng là một trong những phần kiến thức quan trọng trong chương trình toán học, thường xuất hiện trong các bài kiểm tra và kỳ thi lớn. Việc nắm vững phần này không chỉ giúp bạn đạt điểm cao mà còn tạo nền tảng vững chắc để học các nội dung nâng cao hơn.

2. Các Bài Tập Đặc Trưng trong đề giữa học kỳ 2 toán 10 năm 2025 – 2026 trường thpt hùng vương – đà nẵng

  • Bài tập cơ bản: Những bài tập này giúp bạn hiểu rõ định nghĩa, công thức và cách áp dụng kiến thức.
  • Bài tập nâng cao: Dành cho những bạn muốn thử sức với các dạng bài khó hơn, đòi hỏi tư duy sáng tạo và kỹ năng phân tích.
  • Bài tập ôn luyện: Bao gồm các câu hỏi tương tự đề thi thực tế, giúp bạn làm quen với cấu trúc và cách trình bày bài thi.

3. Hướng Dẫn Giải Chi Tiết

Chúng tôi cung cấp hướng dẫn từng bước giải bài tập, bao gồm:

  1. Phân tích đề bài để hiểu yêu cầu.
  2. Áp dụng công thức và phương pháp phù hợp.
  3. Trình bày lời giải rõ ràng và khoa học.

Mỗi bài giải đều kèm theo lời giải thích chi tiết, giúp bạn hiểu không chỉ cách làm mà còn cả lý do tại sao nên áp dụng phương pháp đó.

4. Đáp Án Mới Nhất và Chính Xác

Tất cả các bài tập đều đi kèm đáp án mới nhất, được kiểm tra kỹ lưỡng để đảm bảo độ chính xác cao. Điều này giúp bạn tự kiểm tra kết quả và khắc phục lỗi sai một cách nhanh chóng.

5. Tài Liệu Ôn Luyện Kèm Theo

Ngoài ra, bài viết còn cung cấp các tài liệu bổ trợ như:

  • Bảng công thức toán học liên quan đến đề giữa học kỳ 2 toán 10 năm 2025 – 2026 trường thpt hùng vương – đà nẵng.
  • Các mẹo giải nhanh và cách tránh sai lầm thường gặp.
  • Đề thi thử và bài tập rèn luyện theo cấp độ.

6. Lợi Ích Khi Học Chủ Đề Này

  • Giúp bạn hiểu sâu bản chất của kiến thức thay vì chỉ học thuộc lòng.
  • Tăng khả năng tư duy logic và sáng tạo.
  • Tự tin hơn khi đối mặt với các kỳ thi quan trọng.

Kết Luận

Chủ đề đề giữa học kỳ 2 toán 10 năm 2025 – 2026 trường thpt hùng vương – đà nẵng là một phần kiến thức thú vị và hữu ích trong toán học. Hãy sử dụng bài viết này như một công cụ hỗ trợ để bạn chinh phục mọi thử thách trong môn Toán. Đừng quên ôn tập thường xuyên và luyện tập nhiều dạng bài tập khác nhau để thành thạo hơn!

Chúc các bạn học tốt và đạt kết quả cao! 😊

>> Xem thêm đáp án chi tiết về: đề giữa học kỳ 2 toán 10 năm 2025 – 2026 trường thpt hùng vương – đà nẵng.