giaitoan.edu.vn giới thiệu đến quý thầy, cô giáo và các em học sinh đề kiểm tra giữa học kỳ 2 môn Toán 6 năm học 2024 – 2025 trường THCS Quế Thuận, huyện Quế Sơn, tỉnh Quảng Nam. Đề thi có đáp án và hướng dẫn chấm điểm.
Trích dẫn Đề giữa học kỳ 2 Toán 6 năm 2024 – 2025 trường THCS Quế Thuận – Quảng Nam:
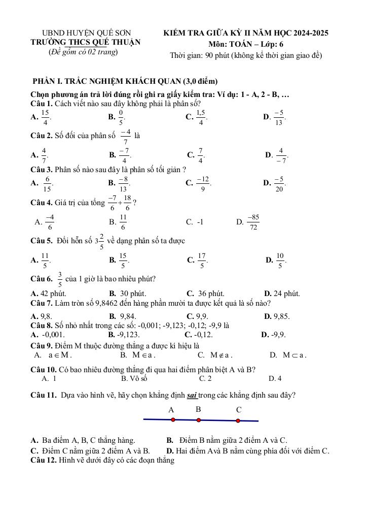
+ Dựa vào hình vẽ, hãy chọn khẳng định sai trong các khẳng định sau đây? A. Ba điểm A, B, C thẳng hàng. B. Điểm B nằm giữa 2 điểm A và C. C. Điểm C nằm giữa 2 điểm A và B. D. Hai điểm Avà B nằm cùng phía đối với điểm C.
+ Lớp 6B có 30 học sinh xếp loại học lực học kỳ I bao gồm bốn mức: tốt, khá, đạt và chưa đạt. Số học sinh xếp mức tốt chiếm 1/5 số học sinh cả lớp, số học sinh xếp mức khá chiếm 1/3 số học sinh cả lớp, số học sinh xếp mức đạt là 11 học sinh. a) Tính số học sinh mỗi loại của lớp? b) Tính tỉ số phần trăm của số học sinh xếp mức chưa đạt với số học sinh cả lớp?
+ Trong hình vẽ bên, biết: AB = 12cm, BC = 7cm. Tính độ dài AC?
File WORD (dành cho quý thầy, cô): TẢI XUỐNG







Giải Toán đề giữa học kỳ 2 toán 6 năm 2024 – 2025 trường thcs quế thuận – quảng nam với Đáp Án Mới Nhất
Toán học luôn là một môn học quan trọng, giúp học sinh phát triển tư duy logic và kỹ năng giải quyết vấn đề. Để hỗ trợ các bạn học sinh và giáo viên trong việc học tập và giảng dạy, bài viết này sẽ cung cấp lời giải chi tiết và đáp án chính xác cho chủ đề đề giữa học kỳ 2 toán 6 năm 2024 – 2025 trường thcs quế thuận – quảng nam, giúp bạn hiểu sâu và tự tin hơn khi làm bài tập.
đề giữa học kỳ 2 toán 6 năm 2024 – 2025 trường thcs quế thuận – quảng nam là một trong những phần kiến thức quan trọng trong chương trình toán học, thường xuất hiện trong các bài kiểm tra và kỳ thi lớn. Việc nắm vững phần này không chỉ giúp bạn đạt điểm cao mà còn tạo nền tảng vững chắc để học các nội dung nâng cao hơn.
Chúng tôi cung cấp hướng dẫn từng bước giải bài tập, bao gồm:
Mỗi bài giải đều kèm theo lời giải thích chi tiết, giúp bạn hiểu không chỉ cách làm mà còn cả lý do tại sao nên áp dụng phương pháp đó.
Tất cả các bài tập đều đi kèm đáp án mới nhất, được kiểm tra kỹ lưỡng để đảm bảo độ chính xác cao. Điều này giúp bạn tự kiểm tra kết quả và khắc phục lỗi sai một cách nhanh chóng.
Ngoài ra, bài viết còn cung cấp các tài liệu bổ trợ như:
Chủ đề đề giữa học kỳ 2 toán 6 năm 2024 – 2025 trường thcs quế thuận – quảng nam là một phần kiến thức thú vị và hữu ích trong toán học. Hãy sử dụng bài viết này như một công cụ hỗ trợ để bạn chinh phục mọi thử thách trong môn Toán. Đừng quên ôn tập thường xuyên và luyện tập nhiều dạng bài tập khác nhau để thành thạo hơn!
Chúc các bạn học tốt và đạt kết quả cao! 😊
>> Xem thêm đáp án chi tiết về: đề giữa học kỳ 2 toán 6 năm 2024 – 2025 trường thcs quế thuận – quảng nam.