giaitoan.edu.vn giới thiệu đến quý thầy, cô giáo và các em học sinh đề kiểm tra giữa học kì 1 môn Toán 11 năm học 2025 – 2026 trường THPT Lê Hồng Phong số 1, tỉnh Đắk Lắk. Đề thi có đáp án và hướng dẫn chấm điểm.
Trích dẫn Đề giữa kì 1 Toán 11 năm 2025 – 2026 trường THPT Lê Hồng Phong 1 – Đắk Lắk:
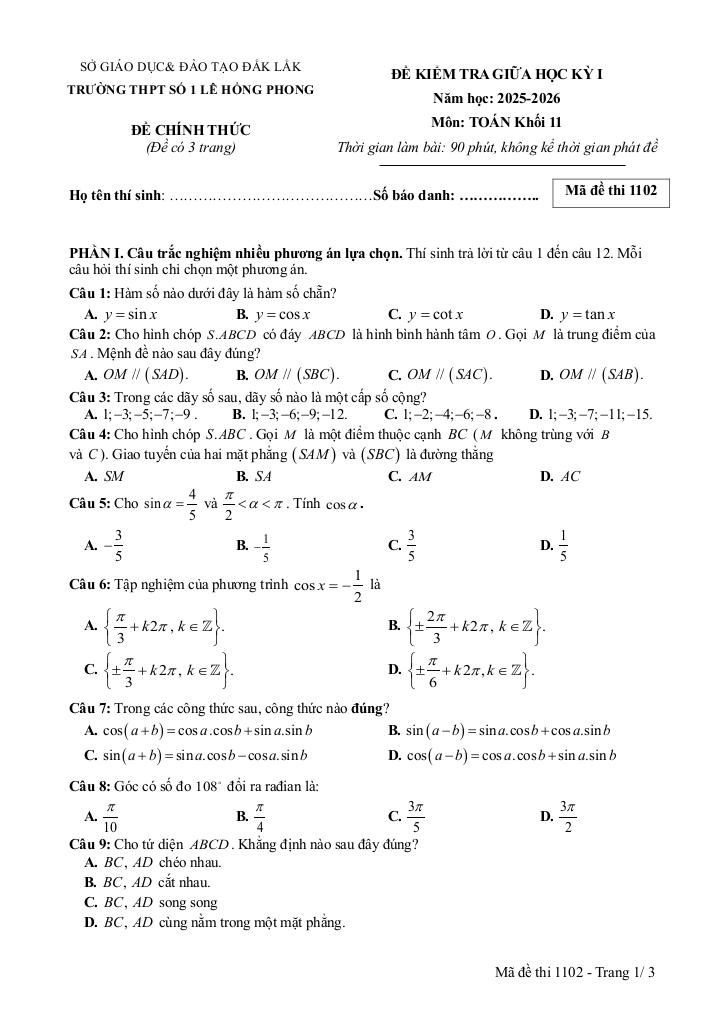
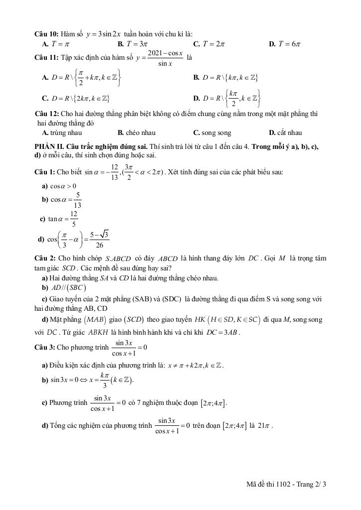
+ Cho hình chóp giaitoan.edu.vn có đáy ABCD là hình thang đáy lớn DC. Gọi M là trọng tâm tam giác SCD. Các mệnh đề sau đúng hay sai? a) Hai đường thẳng SA và CD là hai đường thẳng chéo nhau. b) AD // (SBC). c) Giao tuyến của 2 mặt phẳng (SAB) và (SDC) là đường thẳng đi qua điểm S và song song với hai đường thẳng AB, CD. d) Mặt phẳng (MAB) giao (SCD) theo giao tuyến HK (H thuộc SD, K thuộc SC) đi qua M, song song với DC. Tứ giác ABKH là hình bình hành khi và chỉ khi DC = 3AB.
+ Mỗi ngày một công ty xây dựng chậm tiến độ thi công cầu, thì sẽ bị phạt. Mức phạt bắt đầu là 4000(USD) cho ngày đầu tiên và sẽ tăng thêm 1000(USD) cho mỗi ngày tiếp theo. Dựa trên ngân sách của mình, công ty có khả năng trả tối đa 165.000 (USD) tiền phạt. Tìm số ngày tối đa mà công ty có thể trì hoãn.
+ Số giờ có ánh sáng của một thành phố trong ngày thứ t của một năm không nhuận được cho bởi hàm số: s(t) = 3sin[π/182.(t – 80)] + 12, t thuộc Z và 0 < t ≤ 365. Vào ngày thứ mấy trong năm thì thành phố đó có nhiều giờ ánh sáng nhất?
File WORD (dành cho quý thầy, cô): TẢI XUỐNG








Giải Toán đề giữa kì 1 toán 11 năm 2025 – 2026 trường thpt lê hồng phong 1 – đắk lắk với Đáp Án Mới Nhất
Toán học luôn là một môn học quan trọng, giúp học sinh phát triển tư duy logic và kỹ năng giải quyết vấn đề. Để hỗ trợ các bạn học sinh và giáo viên trong việc học tập và giảng dạy, bài viết này sẽ cung cấp lời giải chi tiết và đáp án chính xác cho chủ đề đề giữa kì 1 toán 11 năm 2025 – 2026 trường thpt lê hồng phong 1 – đắk lắk, giúp bạn hiểu sâu và tự tin hơn khi làm bài tập.
đề giữa kì 1 toán 11 năm 2025 – 2026 trường thpt lê hồng phong 1 – đắk lắk là một trong những phần kiến thức quan trọng trong chương trình toán học, thường xuất hiện trong các bài kiểm tra và kỳ thi lớn. Việc nắm vững phần này không chỉ giúp bạn đạt điểm cao mà còn tạo nền tảng vững chắc để học các nội dung nâng cao hơn.
Chúng tôi cung cấp hướng dẫn từng bước giải bài tập, bao gồm:
Mỗi bài giải đều kèm theo lời giải thích chi tiết, giúp bạn hiểu không chỉ cách làm mà còn cả lý do tại sao nên áp dụng phương pháp đó.
Tất cả các bài tập đều đi kèm đáp án mới nhất, được kiểm tra kỹ lưỡng để đảm bảo độ chính xác cao. Điều này giúp bạn tự kiểm tra kết quả và khắc phục lỗi sai một cách nhanh chóng.
Ngoài ra, bài viết còn cung cấp các tài liệu bổ trợ như:
Chủ đề đề giữa kì 1 toán 11 năm 2025 – 2026 trường thpt lê hồng phong 1 – đắk lắk là một phần kiến thức thú vị và hữu ích trong toán học. Hãy sử dụng bài viết này như một công cụ hỗ trợ để bạn chinh phục mọi thử thách trong môn Toán. Đừng quên ôn tập thường xuyên và luyện tập nhiều dạng bài tập khác nhau để thành thạo hơn!
Chúc các bạn học tốt và đạt kết quả cao! 😊
>> Xem thêm đáp án chi tiết về: đề giữa kì 1 toán 11 năm 2025 – 2026 trường thpt lê hồng phong 1 – đắk lắk.