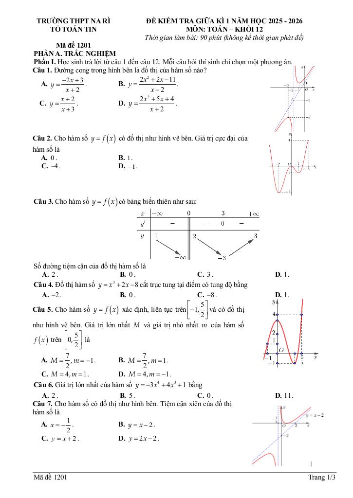
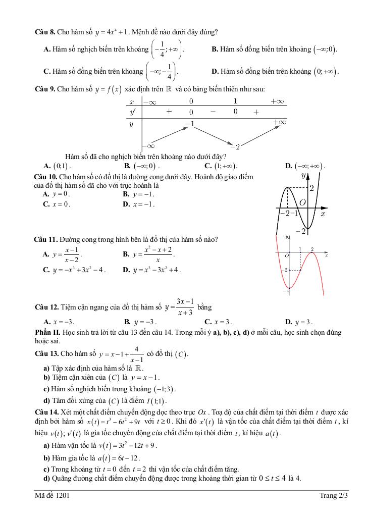
giaitoan.edu.vn giới thiệu đến quý thầy, cô giáo và các em học sinh đề kiểm tra giữa học kì 1 môn Toán 12 năm học 2025 – 2026 trường THPT Na Rì, tỉnh Thái Nguyên. Đề thi có đáp án và hướng dẫn chấm điểm.
Trích dẫn Đề giữa kì 1 Toán 12 năm 2025 – 2026 trường THPT Na Rì – Thái Nguyên:
+ Giả sử sự lây lan của một loại virus ở một địa phương có thể được mô hình hoá bằng hàm số N(t) = -t3 + 12t2 (0 ≤ t ≤ 12), trong đó N là số người bị nhiễm bệnh (tính bằng trăm người) và t là thời gian (tuần). Đạo hàm N'(t) biểu thị tốc độ lây lan của virus (còn gọi là tốc độ truyền bệnh). Hỏi virus sẽ lây lan nhanh nhất khi nào?
+ Nhà máy A chuyên sản xuất một loại sản phẩm cung cấp cho nhà máy B. Hai nhà máy thỏa thuận rằng, hàng tháng nhà máy A cung cấp cho nhà máy B số lượng sản phẩm theo đơn đặt hàng của B (tối đa 100 tấn sản phẩm). Nếu số lượng đặt hàng là x tấn sản phẩm thì giá bán cho mỗi tấn sản phẩm là P(x) = 45 – 0,001×2 (triệu đồng). Chi phí để A sản xuất x tấn sản phẩm trong một tháng gồm 100 triệu đồng chi phí cố định và 30 triệu đồng cho mỗi tấn sản phẩm. Nhà máy A cần bán cho nhà máy B bao nhiêu tấn sản phẩm mỗi tháng để lợi nhuận thu được là lớn nhất? (kết quả làm tròn đến hàng phần mười).
+ Hình vẽ bên dưới mô tả đoạn đường đi vào GARA Ô TÔ nhà thầy Dũng. Đoạn đường đầu tiên có chiều rộng bằng x (m), đoạn đường thẳng vào cổng GARA có chiều rộng 2,6 (m). Biết kích thước xe ô tô là 5m x 1,9m. Để tính toán và thiết kế đường đi cho ô tô người ta coi ô tô như một khối hộp chữ nhật có kích thước chiều dài 5 (m), chiều rộng 1,9 (m). Hỏi chiều rộng nhỏ nhất của đoạn đường đầu tiên để ô tô có thể đi vào GARA được?
File WORD (dành cho quý thầy, cô): TẢI XUỐNG







Giải Toán đề giữa kì 1 toán 12 năm 2025 – 2026 trường thpt na rì – thái nguyên với Đáp Án Mới Nhất
Toán học luôn là một môn học quan trọng, giúp học sinh phát triển tư duy logic và kỹ năng giải quyết vấn đề. Để hỗ trợ các bạn học sinh và giáo viên trong việc học tập và giảng dạy, bài viết này sẽ cung cấp lời giải chi tiết và đáp án chính xác cho chủ đề đề giữa kì 1 toán 12 năm 2025 – 2026 trường thpt na rì – thái nguyên, giúp bạn hiểu sâu và tự tin hơn khi làm bài tập.
đề giữa kì 1 toán 12 năm 2025 – 2026 trường thpt na rì – thái nguyên là một trong những phần kiến thức quan trọng trong chương trình toán học, thường xuất hiện trong các bài kiểm tra và kỳ thi lớn. Việc nắm vững phần này không chỉ giúp bạn đạt điểm cao mà còn tạo nền tảng vững chắc để học các nội dung nâng cao hơn.
Chúng tôi cung cấp hướng dẫn từng bước giải bài tập, bao gồm:
Mỗi bài giải đều kèm theo lời giải thích chi tiết, giúp bạn hiểu không chỉ cách làm mà còn cả lý do tại sao nên áp dụng phương pháp đó.
Tất cả các bài tập đều đi kèm đáp án mới nhất, được kiểm tra kỹ lưỡng để đảm bảo độ chính xác cao. Điều này giúp bạn tự kiểm tra kết quả và khắc phục lỗi sai một cách nhanh chóng.
Ngoài ra, bài viết còn cung cấp các tài liệu bổ trợ như:
Chủ đề đề giữa kì 1 toán 12 năm 2025 – 2026 trường thpt na rì – thái nguyên là một phần kiến thức thú vị và hữu ích trong toán học. Hãy sử dụng bài viết này như một công cụ hỗ trợ để bạn chinh phục mọi thử thách trong môn Toán. Đừng quên ôn tập thường xuyên và luyện tập nhiều dạng bài tập khác nhau để thành thạo hơn!
Chúc các bạn học tốt và đạt kết quả cao! 😊
>> Xem thêm đáp án chi tiết về: đề giữa kì 1 toán 12 năm 2025 – 2026 trường thpt na rì – thái nguyên.