giaitoan.edu.vn giới thiệu đến quý thầy, cô giáo và các em học sinh đề kiểm tra giữa học kì 1 môn Toán 7 năm học 2024 – 2025 trường THCS Nguyễn Công Trứ, quận Cẩm Lệ, thành phố Đà Nẵng. Đề thi có đáp án và hướng dẫn chấm điểm.
Trích dẫn Đề giữa kì 1 Toán 7 năm 2024 – 2025 trường THCS Nguyễn Công Trứ – Đà Nẵng:
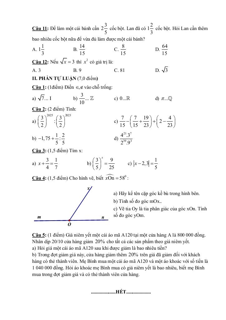
+ Giá niêm yết một cái áo mã A120 tại một cửa hàng A là 800 000 đồng. Nhân dịp 20/10 cửa hàng giảm 20% cho tất cả các sản phẩm theo giá niêm yết. a) Hỏi giá một cái áo mã A120 sau khi được giảm là bao nhiêu tiền?
+ Trong đợt giảm giá này, cửa hàng giảm thêm 20% trên giá đã giảm đối với khách hàng có thẻ thành viên. Mẹ Bình mua một cái áo mã A120 và một áo khoác với số tiền là 1 040 000 đồng. Hỏi áo khoác mẹ Bình mua có giá niêm yết là bao nhiêu, biết mẹ Bình mua trong đợt giảm giá và có thẻ thành viên cửa hàng?
+ Cho hình vẽ, biết xOn = 58. a) Hãy kể tên cặp góc kề bù trong hình bên. b) Tính số đo góc mOx. c) Vẽ tia Oy là tia phân giác của góc xOn. Tính số đo góc yOm.
File WORD (dành cho quý thầy, cô): TẢI XUỐNG










Giải Toán đề giữa kì 1 toán 7 năm 2024 – 2025 trường thcs nguyễn công trứ – đà nẵng với Đáp Án Mới Nhất
Toán học luôn là một môn học quan trọng, giúp học sinh phát triển tư duy logic và kỹ năng giải quyết vấn đề. Để hỗ trợ các bạn học sinh và giáo viên trong việc học tập và giảng dạy, bài viết này sẽ cung cấp lời giải chi tiết và đáp án chính xác cho chủ đề đề giữa kì 1 toán 7 năm 2024 – 2025 trường thcs nguyễn công trứ – đà nẵng, giúp bạn hiểu sâu và tự tin hơn khi làm bài tập.
đề giữa kì 1 toán 7 năm 2024 – 2025 trường thcs nguyễn công trứ – đà nẵng là một trong những phần kiến thức quan trọng trong chương trình toán học, thường xuất hiện trong các bài kiểm tra và kỳ thi lớn. Việc nắm vững phần này không chỉ giúp bạn đạt điểm cao mà còn tạo nền tảng vững chắc để học các nội dung nâng cao hơn.
Chúng tôi cung cấp hướng dẫn từng bước giải bài tập, bao gồm:
Mỗi bài giải đều kèm theo lời giải thích chi tiết, giúp bạn hiểu không chỉ cách làm mà còn cả lý do tại sao nên áp dụng phương pháp đó.
Tất cả các bài tập đều đi kèm đáp án mới nhất, được kiểm tra kỹ lưỡng để đảm bảo độ chính xác cao. Điều này giúp bạn tự kiểm tra kết quả và khắc phục lỗi sai một cách nhanh chóng.
Ngoài ra, bài viết còn cung cấp các tài liệu bổ trợ như:
Chủ đề đề giữa kì 1 toán 7 năm 2024 – 2025 trường thcs nguyễn công trứ – đà nẵng là một phần kiến thức thú vị và hữu ích trong toán học. Hãy sử dụng bài viết này như một công cụ hỗ trợ để bạn chinh phục mọi thử thách trong môn Toán. Đừng quên ôn tập thường xuyên và luyện tập nhiều dạng bài tập khác nhau để thành thạo hơn!
Chúc các bạn học tốt và đạt kết quả cao! 😊
>> Xem thêm đáp án chi tiết về: đề giữa kì 1 toán 7 năm 2024 – 2025 trường thcs nguyễn công trứ – đà nẵng.