giaitoan.edu.vn giới thiệu đến quý thầy, cô giáo và các em học sinh đề kiểm tra giữa học kỳ 1 môn Toán 10 năm học 2025 – 2026 trường THPT Hồ Thị Kỷ, tỉnh Cà Mau. Đề thi có đáp án và hướng dẫn chấm điểm mã đề 1101 – 1102.
Trích dẫn Đề giữa kỳ 1 Toán 10 năm 2025 – 2026 trường THPT Hồ Thị Kỷ – Cà Mau:
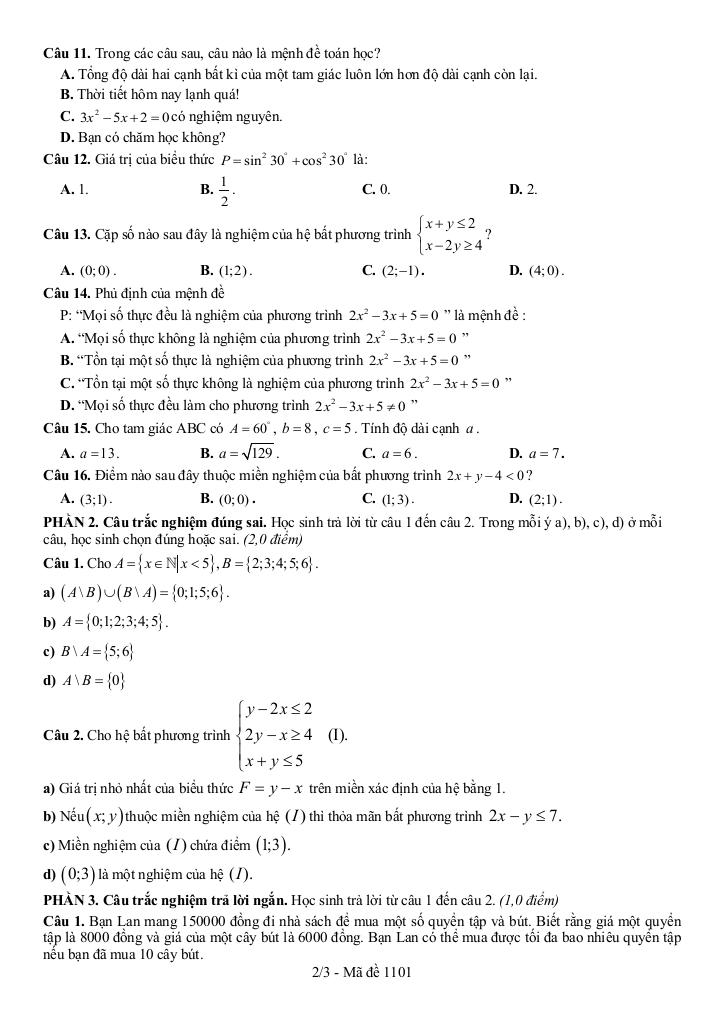
+ Bạn Lan mang 150000 đồng đi nhà sách để mua một số quyển tập và bút. Biết rằng giá một quyển tập là 8000 đồng và giá của một cây bút là 6000 đồng. Bạn Lan có thể mua được tối đa bao nhiêu quyển tập nếu bạn đã mua 10 cây bút.
+ Để đo khoảng cách từ vị trí A trên bờ sông đến vị trí B của con tàu bị mắc cạn gần một cù lao giữa sông, bạn Minh đi dọc bờ sông từ vị trí A đến vị trí C cách A một khoảng bằng 50m và đo các góc BAC = 70, BCA = 50 (Hình). Tính khoảng cách AB theo đơn vị mét (làm tròn kết quả đến hàng đơn vị).
+ Học sinh lớp 10A trường THPT Hồ Thị Kỷ có 25 em thích chơi bóng chuyền, 30 em thích chơi bóng đá, 15 em thích cả hai môn và 5 không thích cả hai môn. Hỏi lớp 10A có bao nhiêu học sinh?
File WORD (dành cho quý thầy, cô): TẢI XUỐNG










Giải Toán đề giữa kỳ 1 toán 10 năm 2025 – 2026 trường thpt hồ thị kỷ – cà mau với Đáp Án Mới Nhất
Toán học luôn là một môn học quan trọng, giúp học sinh phát triển tư duy logic và kỹ năng giải quyết vấn đề. Để hỗ trợ các bạn học sinh và giáo viên trong việc học tập và giảng dạy, bài viết này sẽ cung cấp lời giải chi tiết và đáp án chính xác cho chủ đề đề giữa kỳ 1 toán 10 năm 2025 – 2026 trường thpt hồ thị kỷ – cà mau, giúp bạn hiểu sâu và tự tin hơn khi làm bài tập.
đề giữa kỳ 1 toán 10 năm 2025 – 2026 trường thpt hồ thị kỷ – cà mau là một trong những phần kiến thức quan trọng trong chương trình toán học, thường xuất hiện trong các bài kiểm tra và kỳ thi lớn. Việc nắm vững phần này không chỉ giúp bạn đạt điểm cao mà còn tạo nền tảng vững chắc để học các nội dung nâng cao hơn.
Chúng tôi cung cấp hướng dẫn từng bước giải bài tập, bao gồm:
Mỗi bài giải đều kèm theo lời giải thích chi tiết, giúp bạn hiểu không chỉ cách làm mà còn cả lý do tại sao nên áp dụng phương pháp đó.
Tất cả các bài tập đều đi kèm đáp án mới nhất, được kiểm tra kỹ lưỡng để đảm bảo độ chính xác cao. Điều này giúp bạn tự kiểm tra kết quả và khắc phục lỗi sai một cách nhanh chóng.
Ngoài ra, bài viết còn cung cấp các tài liệu bổ trợ như:
Chủ đề đề giữa kỳ 1 toán 10 năm 2025 – 2026 trường thpt hồ thị kỷ – cà mau là một phần kiến thức thú vị và hữu ích trong toán học. Hãy sử dụng bài viết này như một công cụ hỗ trợ để bạn chinh phục mọi thử thách trong môn Toán. Đừng quên ôn tập thường xuyên và luyện tập nhiều dạng bài tập khác nhau để thành thạo hơn!
Chúc các bạn học tốt và đạt kết quả cao! 😊
>> Xem thêm đáp án chi tiết về: đề giữa kỳ 1 toán 10 năm 2025 – 2026 trường thpt hồ thị kỷ – cà mau.