giaitoan.edu.vn giới thiệu đến quý thầy, cô giáo và các em học sinh đề kiểm tra giữa học kỳ 1 môn Toán 11 năm học 2025 – 2026 trường THPT Quế Sơn, thành phố Đà Nẵng. Đề thi gồm 12 câu trắc nghiệm nhiều phương án lựa chọn (3,0 điểm) + 02 câu trắc nghiệm đúng sai (2,0 điểm) + 04 câu trắc nghiệm trả lời ngắn (2,0 điểm) + 03 câu tự luận (3,0 điểm), thời gian làm bài 90 phút, có đáp án và hướng dẫn chấm điểm.
Ma trận Đề giữa kỳ 1 Toán 11 năm 2025 – 2026 trường THPT Quế Sơn – Đà Nẵng:
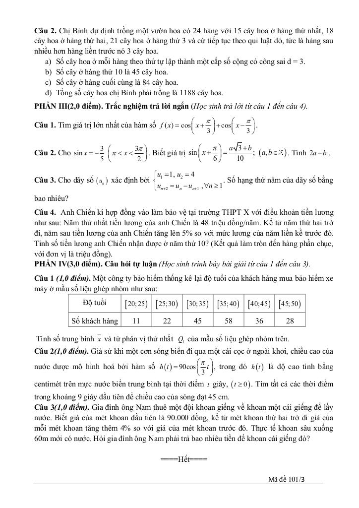
1 Hàm số lượng giác và phương trình lượng giác.
+ Góc lượng giác. Số đo của góc lượng giác. Đường tròn lượng giác. Giá trị lượng giác của góc lượng giác. Quan hệ giữa các giá trị lượng giác. Các phép biến đổi lượng giác (công thức cộng; công thức nhân đôi; công thức biến đổi tích thành tổng; công thức biến đổi tổng thành tích).
+ Hàm số lượng giác và đồ thị.
+ Phương trình lượng giác cơ bản.
2 Dãy số – Cấp số cộng và cấp số nhân.
+ Dãy số. Dãy số tăng, dãy số giảm.
+ Cấp số cộng. Số hạng tổng quát của cấp số cộng. Tổng của n số hạng đầu tiên của cấp số cộng.
+ Cấp số nhân. Số hạng tổng quát của cấp số nhân. Tổng của n số hạng đầu tiên của cấp số nhân.
3 Phân tích và xử lí dữ liệu.
+ Các số đặc trưng của mẫu số liệu ghép nhóm.










Giải Toán đề giữa kỳ 1 toán 11 năm 2025 – 2026 trường thpt quế sơn – đà nẵng với Đáp Án Mới Nhất
Toán học luôn là một môn học quan trọng, giúp học sinh phát triển tư duy logic và kỹ năng giải quyết vấn đề. Để hỗ trợ các bạn học sinh và giáo viên trong việc học tập và giảng dạy, bài viết này sẽ cung cấp lời giải chi tiết và đáp án chính xác cho chủ đề đề giữa kỳ 1 toán 11 năm 2025 – 2026 trường thpt quế sơn – đà nẵng, giúp bạn hiểu sâu và tự tin hơn khi làm bài tập.
đề giữa kỳ 1 toán 11 năm 2025 – 2026 trường thpt quế sơn – đà nẵng là một trong những phần kiến thức quan trọng trong chương trình toán học, thường xuất hiện trong các bài kiểm tra và kỳ thi lớn. Việc nắm vững phần này không chỉ giúp bạn đạt điểm cao mà còn tạo nền tảng vững chắc để học các nội dung nâng cao hơn.
Chúng tôi cung cấp hướng dẫn từng bước giải bài tập, bao gồm:
Mỗi bài giải đều kèm theo lời giải thích chi tiết, giúp bạn hiểu không chỉ cách làm mà còn cả lý do tại sao nên áp dụng phương pháp đó.
Tất cả các bài tập đều đi kèm đáp án mới nhất, được kiểm tra kỹ lưỡng để đảm bảo độ chính xác cao. Điều này giúp bạn tự kiểm tra kết quả và khắc phục lỗi sai một cách nhanh chóng.
Ngoài ra, bài viết còn cung cấp các tài liệu bổ trợ như:
Chủ đề đề giữa kỳ 1 toán 11 năm 2025 – 2026 trường thpt quế sơn – đà nẵng là một phần kiến thức thú vị và hữu ích trong toán học. Hãy sử dụng bài viết này như một công cụ hỗ trợ để bạn chinh phục mọi thử thách trong môn Toán. Đừng quên ôn tập thường xuyên và luyện tập nhiều dạng bài tập khác nhau để thành thạo hơn!
Chúc các bạn học tốt và đạt kết quả cao! 😊
>> Xem thêm đáp án chi tiết về: đề giữa kỳ 1 toán 11 năm 2025 – 2026 trường thpt quế sơn – đà nẵng.