giaitoan.edu.vn giới thiệu đến quý thầy, cô giáo và các em học sinh đề kiểm tra giữa học kỳ 1 môn Toán 12 năm học 2025 – 2026 trường THPT Tôn Thất Tùng, thành phố Đà Nẵng. Đề thi có đáp án và hướng dẫn chấm điểm.
Trích dẫn Đề giữa kỳ 1 Toán 12 năm 2025 – 2026 trường THPT Tôn Thất Tùng – Đà Nẵng:
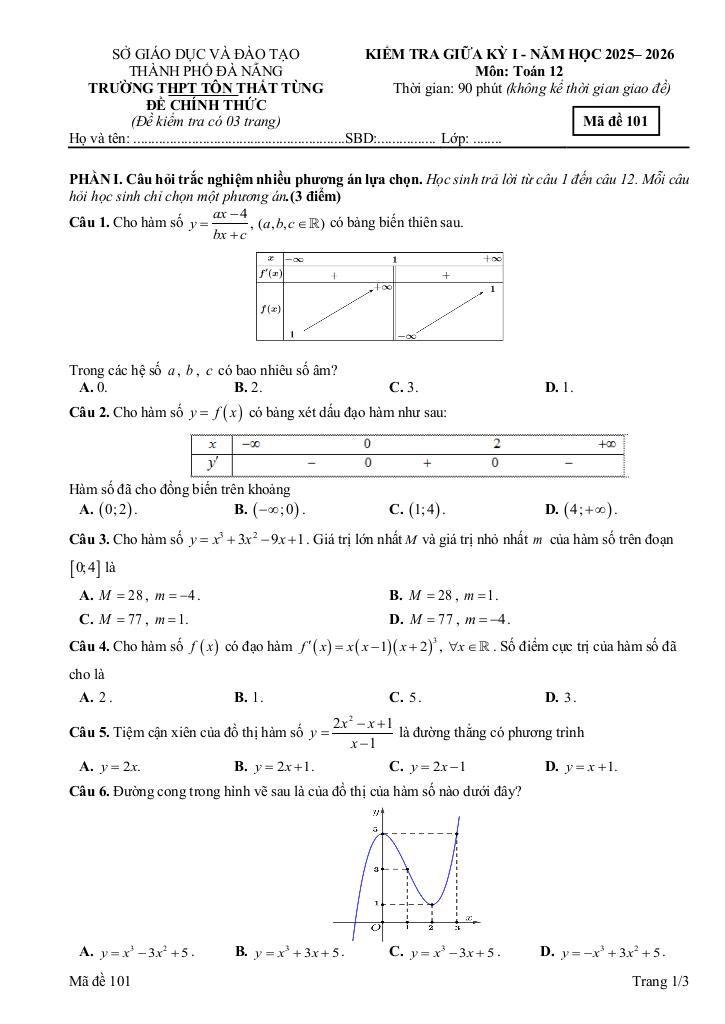
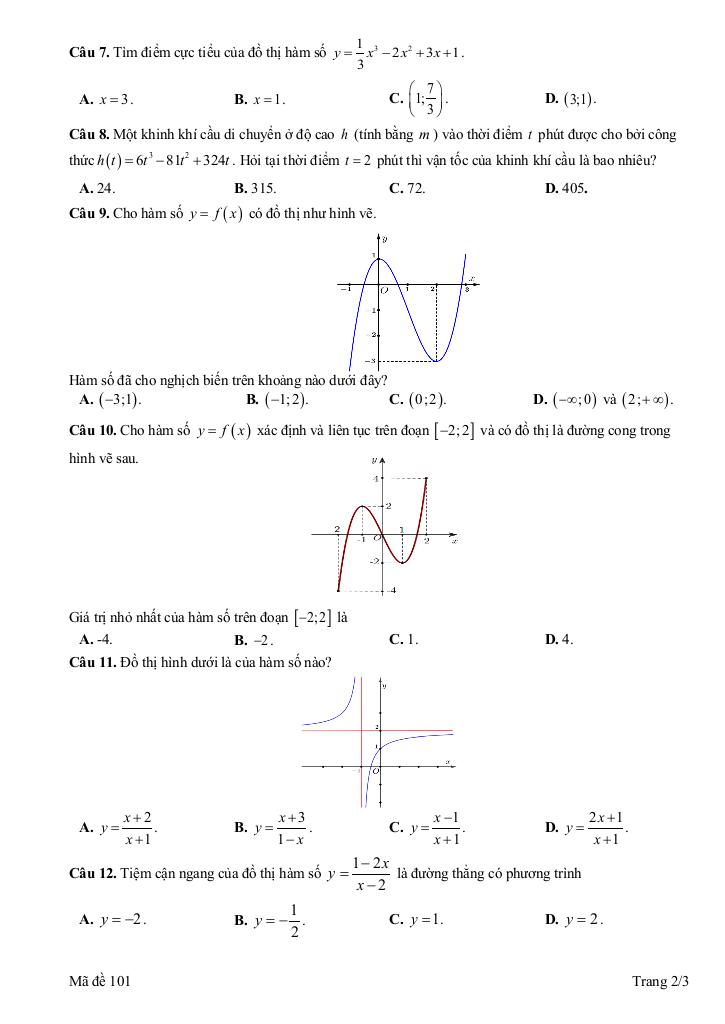
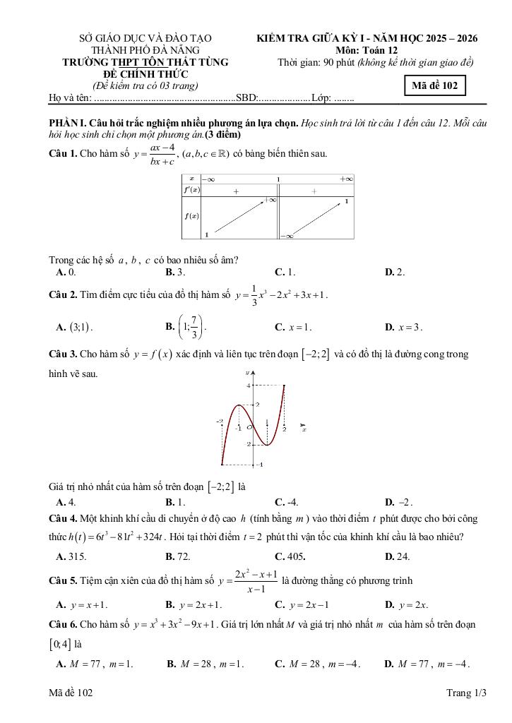
+ Một khinh khí cầu di chuyển ở độ cao h (tính bằng m) vào thời điểm t phút được cho bởi công thức h(t) = 6t3 – 81t2 + 324t. Hỏi tại thời điểm t = 2 phút thì vận tốc của khinh khí cầu là bao nhiêu?
+ Chi phí (đơn vị: nghìn đồng) để sản xuất x sản phẩm của một công ty được xác định bởi hàm số F(x) = 60000 + 250x. Gọi F(x) là hàm số biểu thị chi phí trung bình (đơn vị: nghìn đồng) để sản xuất x sản phẩm (x ≥ 0), khi đó, hãy tính chi phí trung bình tối đa để sản xuất một sản phẩm.
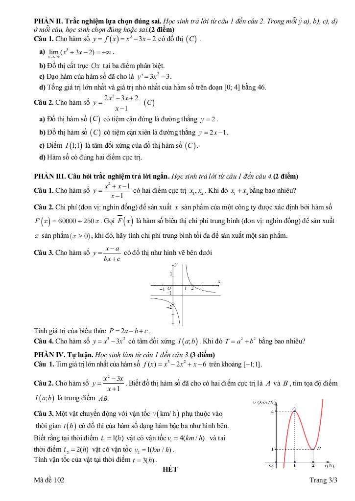
+ Cho hàm số y = (x2 – 3x)/(x + 1). Biết đồ thị hàm số đã cho có hai điểm cực trị là A và B, tìm tọa độ điểm I(a;b) là trung điểm AB.
File WORD (dành cho quý thầy, cô): TẢI XUỐNG









Giải Toán đề giữa kỳ 1 toán 12 năm 2025 – 2026 trường thpt tôn thất tùng – đà nẵng với Đáp Án Mới Nhất
Toán học luôn là một môn học quan trọng, giúp học sinh phát triển tư duy logic và kỹ năng giải quyết vấn đề. Để hỗ trợ các bạn học sinh và giáo viên trong việc học tập và giảng dạy, bài viết này sẽ cung cấp lời giải chi tiết và đáp án chính xác cho chủ đề đề giữa kỳ 1 toán 12 năm 2025 – 2026 trường thpt tôn thất tùng – đà nẵng, giúp bạn hiểu sâu và tự tin hơn khi làm bài tập.
đề giữa kỳ 1 toán 12 năm 2025 – 2026 trường thpt tôn thất tùng – đà nẵng là một trong những phần kiến thức quan trọng trong chương trình toán học, thường xuất hiện trong các bài kiểm tra và kỳ thi lớn. Việc nắm vững phần này không chỉ giúp bạn đạt điểm cao mà còn tạo nền tảng vững chắc để học các nội dung nâng cao hơn.
Chúng tôi cung cấp hướng dẫn từng bước giải bài tập, bao gồm:
Mỗi bài giải đều kèm theo lời giải thích chi tiết, giúp bạn hiểu không chỉ cách làm mà còn cả lý do tại sao nên áp dụng phương pháp đó.
Tất cả các bài tập đều đi kèm đáp án mới nhất, được kiểm tra kỹ lưỡng để đảm bảo độ chính xác cao. Điều này giúp bạn tự kiểm tra kết quả và khắc phục lỗi sai một cách nhanh chóng.
Ngoài ra, bài viết còn cung cấp các tài liệu bổ trợ như:
Chủ đề đề giữa kỳ 1 toán 12 năm 2025 – 2026 trường thpt tôn thất tùng – đà nẵng là một phần kiến thức thú vị và hữu ích trong toán học. Hãy sử dụng bài viết này như một công cụ hỗ trợ để bạn chinh phục mọi thử thách trong môn Toán. Đừng quên ôn tập thường xuyên và luyện tập nhiều dạng bài tập khác nhau để thành thạo hơn!
Chúc các bạn học tốt và đạt kết quả cao! 😊
>> Xem thêm đáp án chi tiết về: đề giữa kỳ 1 toán 12 năm 2025 – 2026 trường thpt tôn thất tùng – đà nẵng.