giaitoan.edu.vn giới thiệu đến quý thầy, cô giáo và các em học sinh đề kiểm tra cuối học kì 1 môn Toán 7 năm học 2025 – 2026 trường THCS Phước Bửu, thành phố Hồ Chí Minh. Đề thi có đáp án và hướng dẫn chấm điểm.
Trích dẫn Đề học kì 1 Toán 7 năm 2025 – 2026 trường THCS Phước Bửu – TP HCM:
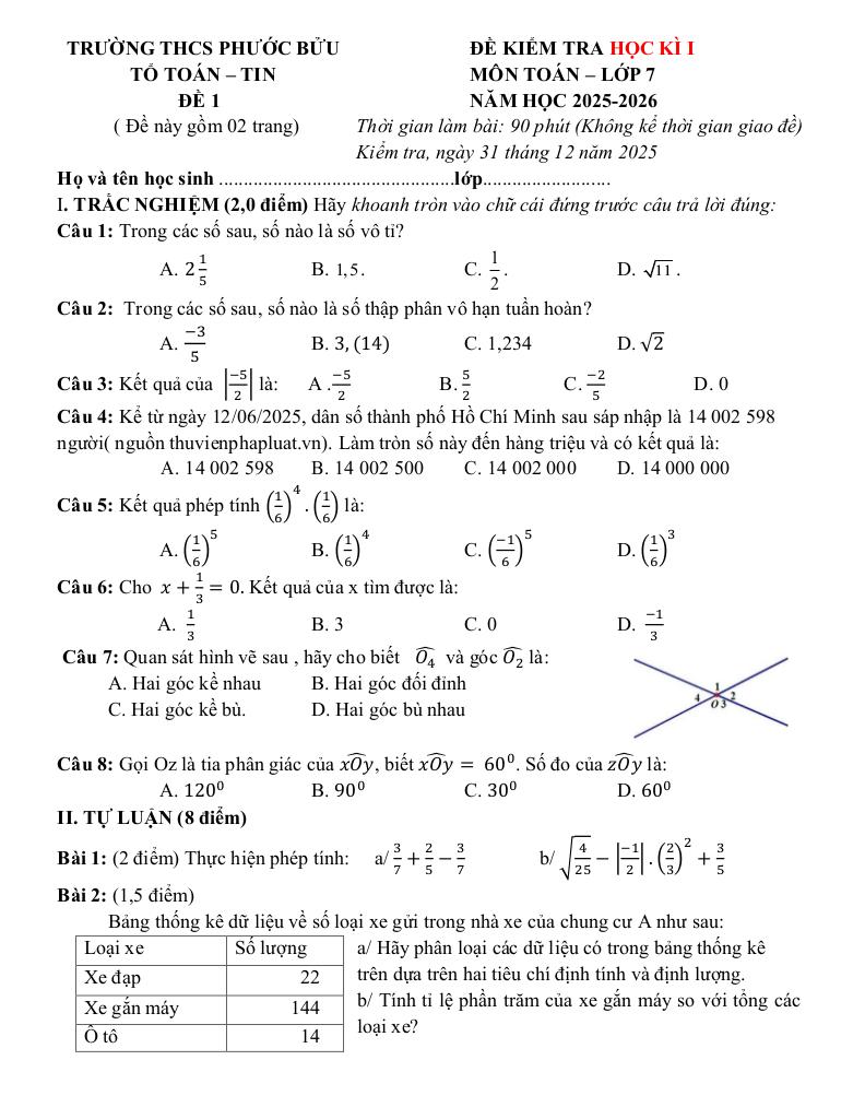
+ Bảng thống kê dữ liệu về số loại xe gửi trong nhà xe của chung cư A như sau: a/ Hãy phân loại các dữ liệu có trong bảng thống kê trên dựa trên hai tiêu chí định tính và định lượng. b/ Tính tỉ lệ phần trăm của xe gắn máy so với tổng các loại xe?
+ Mẹ bạn An gửi tiết kiệm 500 triệu đồng vào ngân hàng A với lãi suất là 4,5% một năm. Hết thời hạn 1 năm mẹ bạn An nhận được số tiền lãi là bao nhiêu?
+ Chú Tư gửi tiết kiệm 200 triệu đồng vào ngân hàng B theo thể thức kì hạn 1 năm. Hết thời hạn 1 năm chú Tư nhận được cả vốn lẫn lãi là 209,6 triệu đồng. Tính lãi suất ngân hàng theo thể thức gửi tiết kiệm này.









Giải Toán đề học kì 1 toán 7 năm 2025 – 2026 trường thcs phước bửu – tp hcm với Đáp Án Mới Nhất
Toán học luôn là một môn học quan trọng, giúp học sinh phát triển tư duy logic và kỹ năng giải quyết vấn đề. Để hỗ trợ các bạn học sinh và giáo viên trong việc học tập và giảng dạy, bài viết này sẽ cung cấp lời giải chi tiết và đáp án chính xác cho chủ đề đề học kì 1 toán 7 năm 2025 – 2026 trường thcs phước bửu – tp hcm, giúp bạn hiểu sâu và tự tin hơn khi làm bài tập.
đề học kì 1 toán 7 năm 2025 – 2026 trường thcs phước bửu – tp hcm là một trong những phần kiến thức quan trọng trong chương trình toán học, thường xuất hiện trong các bài kiểm tra và kỳ thi lớn. Việc nắm vững phần này không chỉ giúp bạn đạt điểm cao mà còn tạo nền tảng vững chắc để học các nội dung nâng cao hơn.
Chúng tôi cung cấp hướng dẫn từng bước giải bài tập, bao gồm:
Mỗi bài giải đều kèm theo lời giải thích chi tiết, giúp bạn hiểu không chỉ cách làm mà còn cả lý do tại sao nên áp dụng phương pháp đó.
Tất cả các bài tập đều đi kèm đáp án mới nhất, được kiểm tra kỹ lưỡng để đảm bảo độ chính xác cao. Điều này giúp bạn tự kiểm tra kết quả và khắc phục lỗi sai một cách nhanh chóng.
Ngoài ra, bài viết còn cung cấp các tài liệu bổ trợ như:
Chủ đề đề học kì 1 toán 7 năm 2025 – 2026 trường thcs phước bửu – tp hcm là một phần kiến thức thú vị và hữu ích trong toán học. Hãy sử dụng bài viết này như một công cụ hỗ trợ để bạn chinh phục mọi thử thách trong môn Toán. Đừng quên ôn tập thường xuyên và luyện tập nhiều dạng bài tập khác nhau để thành thạo hơn!
Chúc các bạn học tốt và đạt kết quả cao! 😊
>> Xem thêm đáp án chi tiết về: đề học kì 1 toán 7 năm 2025 – 2026 trường thcs phước bửu – tp hcm.