giaitoan.edu.vn giới thiệu đến quý thầy, cô giáo và các em học sinh đề kiểm tra cuối học kỳ 1 môn Toán 9 năm học 2025 – 2026 trường THCS Nghĩa An, xã Nghĩa Khánh, tỉnh Nghệ An. Đề thi gồm 10 câu trắc nghiệm nhiều phương án lựa chọn (2,5 điểm) + 01 câu trắc nghiệm đúng sai (1,0 điểm) + 01 câu trắc nghiệm trả lời ngắn (0,5 điểm) + 04 câu tự luận (6,0 điểm), thời gian làm bài 90 phút, có đáp án và hướng dẫn chấm điểm.
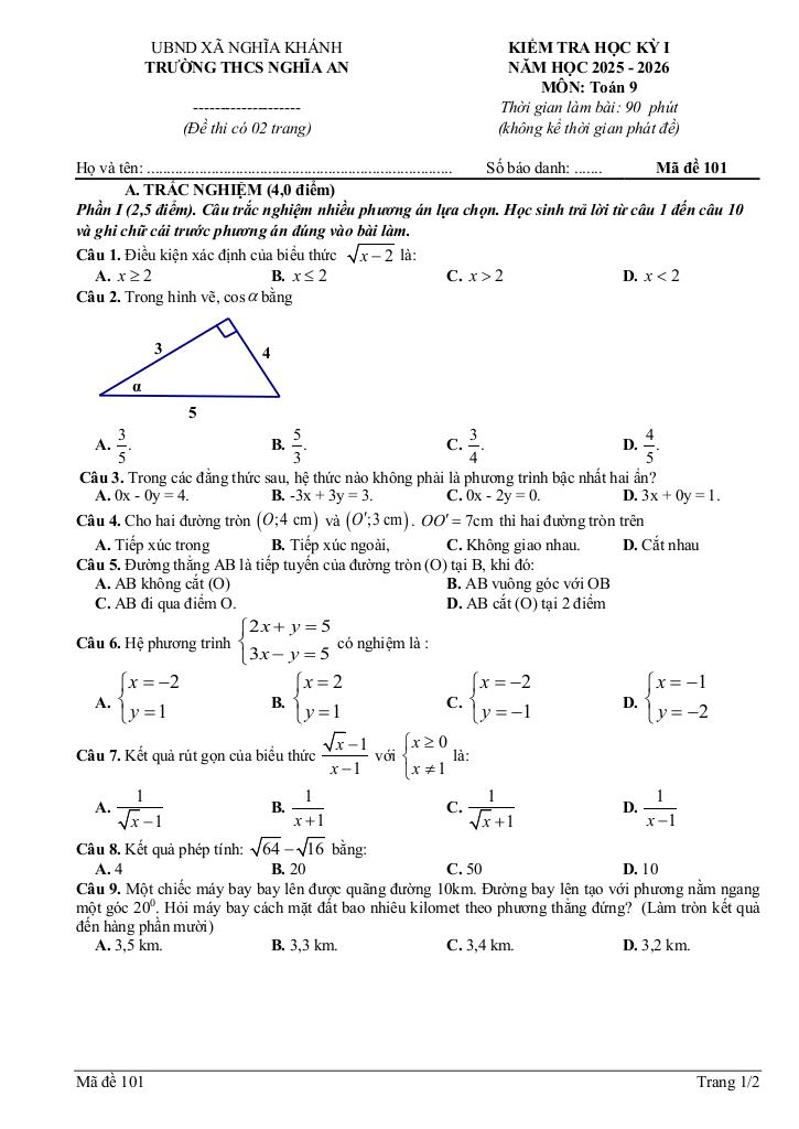
Trích dẫn Đề học kỳ 1 Toán 9 năm 2025 – 2026 trường THCS Nghĩa An – Nghệ An:
+ Giải bài toán bằng cách lập hệ phương trình: Hai lớp 9A và 9B quyên góp sách giáo khoa cũ ủng hộ học sinh vùng lũ năm 2025 được 250 cuốn sách. Biết rằng lớp 9A ủng hộ nhiều hơn 9B 30 cuốn. Hỏi mỗi lớp đã quyên góp ủng hộ được bao nhiêu cuốn sách.
+ Cho đường tròn (O;R), điểm A nằm ngoài (O) kẻ hai tiếp tuyến AB và AC với (O) tại B và C. AO cắt BC tại H, kẻ đường kính BD, AD cắt đường tròn (O) tại K. Chứng minh: a) AO vuông góc với BC. b) AB2 = giaitoan.edu.vn và giaitoan.edu.vn = giaitoan.edu.vn.
+ Một công ty sản xuất dụng cụ thể thao nhận được một đơn đặt hàng sản xuất 8000 quả bóng tennis. Công ty này sở hữu một số máy móc, mỗi máy móc có thể sản xuất 30 quả bóng trong một giờ. Chi phí thiết lập các máy này là 200 nghìn đồng cho mỗi máy. Khi được thiết lập, hoạt động sản xuất sẽ hoàn toàn diễn ra tự động dưới sự giám sát. Số tiền phải trả cho người giám sát là 192 nghìn đồng một giờ (người này sẽ giám sát tất cả các máy hoạt động). Số máy móc công ty nên sử dụng là bao nhiêu để chi phí sản xuất là thấp nhất?
File WORD (dành cho quý thầy, cô): TẢI XUỐNG








Giải Toán đề học kỳ 1 toán 9 năm 2025 – 2026 trường thcs nghĩa an – nghệ an với Đáp Án Mới Nhất
Toán học luôn là một môn học quan trọng, giúp học sinh phát triển tư duy logic và kỹ năng giải quyết vấn đề. Để hỗ trợ các bạn học sinh và giáo viên trong việc học tập và giảng dạy, bài viết này sẽ cung cấp lời giải chi tiết và đáp án chính xác cho chủ đề đề học kỳ 1 toán 9 năm 2025 – 2026 trường thcs nghĩa an – nghệ an, giúp bạn hiểu sâu và tự tin hơn khi làm bài tập.
đề học kỳ 1 toán 9 năm 2025 – 2026 trường thcs nghĩa an – nghệ an là một trong những phần kiến thức quan trọng trong chương trình toán học, thường xuất hiện trong các bài kiểm tra và kỳ thi lớn. Việc nắm vững phần này không chỉ giúp bạn đạt điểm cao mà còn tạo nền tảng vững chắc để học các nội dung nâng cao hơn.
Chúng tôi cung cấp hướng dẫn từng bước giải bài tập, bao gồm:
Mỗi bài giải đều kèm theo lời giải thích chi tiết, giúp bạn hiểu không chỉ cách làm mà còn cả lý do tại sao nên áp dụng phương pháp đó.
Tất cả các bài tập đều đi kèm đáp án mới nhất, được kiểm tra kỹ lưỡng để đảm bảo độ chính xác cao. Điều này giúp bạn tự kiểm tra kết quả và khắc phục lỗi sai một cách nhanh chóng.
Ngoài ra, bài viết còn cung cấp các tài liệu bổ trợ như:
Chủ đề đề học kỳ 1 toán 9 năm 2025 – 2026 trường thcs nghĩa an – nghệ an là một phần kiến thức thú vị và hữu ích trong toán học. Hãy sử dụng bài viết này như một công cụ hỗ trợ để bạn chinh phục mọi thử thách trong môn Toán. Đừng quên ôn tập thường xuyên và luyện tập nhiều dạng bài tập khác nhau để thành thạo hơn!
Chúc các bạn học tốt và đạt kết quả cao! 😊
>> Xem thêm đáp án chi tiết về: đề học kỳ 1 toán 9 năm 2025 – 2026 trường thcs nghĩa an – nghệ an.