giaitoan.edu.vn giới thiệu đến quý thầy, cô giáo và các em học sinh đề thi khảo sát chất lượng học sinh môn Toán 9 năm học 2025 – 2026 sở Giáo dục và Đào tạo tỉnh Hà Tĩnh. Đề thi hình thức 20% trắc nghiệm (08 câu) + 80% tự luận (06 câu), thời gian làm bài 90 phút, có đáp án và lời giải chi tiết. Kỳ thi được diễn ra vào ngày 15 tháng 04 năm 2026.
Trích dẫn Đề khảo sát chất lượng Toán 9 năm 2025 – 2026 sở GD&ĐT Hà Tĩnh:
+ Một hộp có chứa 5 tấm thẻ cùng loại được đánh số lần lượt từ 1 đến 5. Lấy ngẫu nhiên cùng một lúc 2 tấm thẻ từ hộp. Viết không gian mẫu của phép thử và tính xác suất của biến cố A: “Tổng hai số đánh trên hai thẻ là một số lẻ”.
+ Bác Hùng có một mảnh đất hình chữ nhật có chiều rộng là 8m và chiều dài là 20m. Nhà nước làm một con đường đi qua mảnh đất của Bác Hùng nên đã thu hồi một phần đất, phần đất thu hồi là hình tam giác (tham khảo hình vẽ). Biết BC = 2DE và mỗi m² đất bị thu hồi được đền bù 13 triệu đồng nên Bác Hùng nhận được số tiền đền bù là 455 triệu đồng. Bác Hùng dự tính xây tường rào ngăn phần đất bị thu hồi và phần đất còn lại từ C đến D. Hãy tính độ dài đoạn CD.
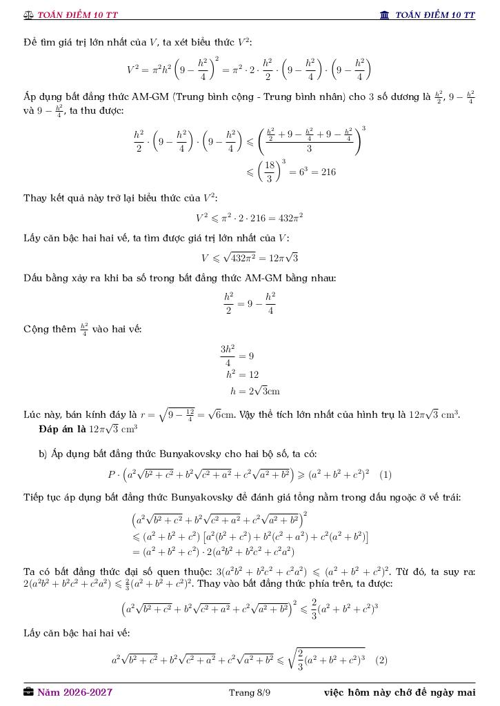
+ Một nghệ nhân kim hoàn nhận chế tác một viên đá quý hiếm có hình dạng khối cầu hoàn hảo với bán kính R = 3cm. Khách yêu cầu nghệ nhân mài viên đá này thành một hình trụ (có các đường tròn đáy nằm trên mặt cầu) để làm mặt dây chuyền (tham khảo hình vẽ). Hãy tính thể tích lớn nhất của hình trụ mà nghệ nhân kim hoàn chế tác được.










Giải Toán đề khảo sát chất lượng toán 9 năm 2025 – 2026 sở gd&đt hà tĩnh với Đáp Án Mới Nhất
Toán học luôn là một môn học quan trọng, giúp học sinh phát triển tư duy logic và kỹ năng giải quyết vấn đề. Để hỗ trợ các bạn học sinh và giáo viên trong việc học tập và giảng dạy, bài viết này sẽ cung cấp lời giải chi tiết và đáp án chính xác cho chủ đề đề khảo sát chất lượng toán 9 năm 2025 – 2026 sở gd&đt hà tĩnh, giúp bạn hiểu sâu và tự tin hơn khi làm bài tập.
đề khảo sát chất lượng toán 9 năm 2025 – 2026 sở gd&đt hà tĩnh là một trong những phần kiến thức quan trọng trong chương trình toán học, thường xuất hiện trong các bài kiểm tra và kỳ thi lớn. Việc nắm vững phần này không chỉ giúp bạn đạt điểm cao mà còn tạo nền tảng vững chắc để học các nội dung nâng cao hơn.
Chúng tôi cung cấp hướng dẫn từng bước giải bài tập, bao gồm:
Mỗi bài giải đều kèm theo lời giải thích chi tiết, giúp bạn hiểu không chỉ cách làm mà còn cả lý do tại sao nên áp dụng phương pháp đó.
Tất cả các bài tập đều đi kèm đáp án mới nhất, được kiểm tra kỹ lưỡng để đảm bảo độ chính xác cao. Điều này giúp bạn tự kiểm tra kết quả và khắc phục lỗi sai một cách nhanh chóng.
Ngoài ra, bài viết còn cung cấp các tài liệu bổ trợ như:
Chủ đề đề khảo sát chất lượng toán 9 năm 2025 – 2026 sở gd&đt hà tĩnh là một phần kiến thức thú vị và hữu ích trong toán học. Hãy sử dụng bài viết này như một công cụ hỗ trợ để bạn chinh phục mọi thử thách trong môn Toán. Đừng quên ôn tập thường xuyên và luyện tập nhiều dạng bài tập khác nhau để thành thạo hơn!
Chúc các bạn học tốt và đạt kết quả cao! 😊
>> Xem thêm đáp án chi tiết về: đề khảo sát chất lượng toán 9 năm 2025 – 2026 sở gd&đt hà tĩnh.