giaitoan.edu.vn giới thiệu đến quý thầy, cô giáo và các em học sinh đề thi khảo sát chất lượng học sinh giỏi môn Toán 8 năm học 2025 – 2026 trường THCS Tân Thọ, tỉnh Thanh Hóa. Đề thi có đáp án, lời giải chi tiết và hướng dẫn chấm điểm.
Trích dẫn Đề khảo sát HSG Toán 8 năm 2025 – 2026 trường THCS Tân Thọ – Thanh Hóa:
+ Để lập đội tuyển năng khiếu bóng rổ của trường, thầy giáo thể dục đưa ra quy định tuyển chọn như sau: Mỗi bạn dự tuyển được sẽ được ném 10 quả bóng vào rổ, quả bóng nào vào rổ được cộng 4 điểm; quả bóng nào ném ra ngoài bị trừ 2 điểm. Nếu bạn nào có số điểm từ 22 điểm trở lên thì sẽ được vào đội tuyển. Hỏi mỗi học sinh muốn được chọn vào đội tuyển thì phải ném ít nhất bao nhiêu quả vào rổ?
+ Bác An trồng cây ăn quả được mùa nên cuối vụ bác An tiết kiệm được 30 triệu đồng. Bác An gửi số tiền trên vào ngân hàng X theo hình thức lãi kép. Sau 2 năm, bác rút cả vốn lẫn lãi được 33,075 triệu đồng. Nếu bác An gửi số tiền 400 triệu đồng vào ngân hàng X theo lãi suất đó thì sau bao nhiêu năm bác An nhận được số tiền cả gốc và lãi là 463,05 triệu đồng?
+ Một người đo chiều cao của một cây nhờ một cọc chôn xuống đất, cọc cao 2m và đặt xa cây 15m. Sau khi người ấy lùi ra xa cách cọc 0,8m thì nhìn thấy đầu cọc và đỉnh cây cùng nằm trên một đường thẳng. Hỏi cây cao bao nhiêu, biết rằng khoảng cách từ chân đến mắt người ấy là 1,6m?
File WORD (dành cho quý thầy, cô): TẢI XUỐNG








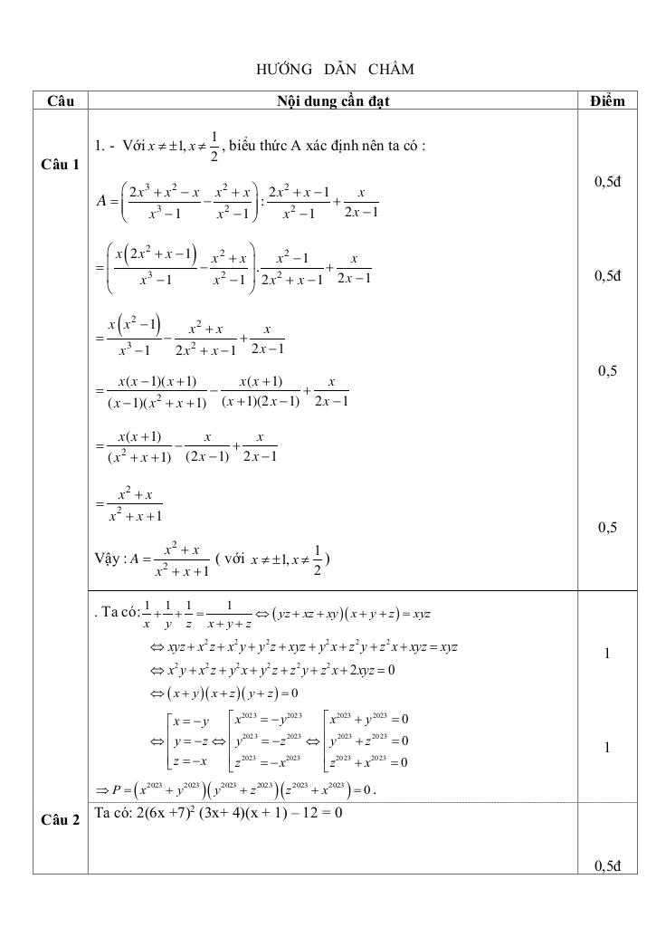
Giải Toán đề khảo sát hsg toán 8 năm 2025 – 2026 trường thcs tân thọ – thanh hóa với Đáp Án Mới Nhất
Toán học luôn là một môn học quan trọng, giúp học sinh phát triển tư duy logic và kỹ năng giải quyết vấn đề. Để hỗ trợ các bạn học sinh và giáo viên trong việc học tập và giảng dạy, bài viết này sẽ cung cấp lời giải chi tiết và đáp án chính xác cho chủ đề đề khảo sát hsg toán 8 năm 2025 – 2026 trường thcs tân thọ – thanh hóa, giúp bạn hiểu sâu và tự tin hơn khi làm bài tập.
đề khảo sát hsg toán 8 năm 2025 – 2026 trường thcs tân thọ – thanh hóa là một trong những phần kiến thức quan trọng trong chương trình toán học, thường xuất hiện trong các bài kiểm tra và kỳ thi lớn. Việc nắm vững phần này không chỉ giúp bạn đạt điểm cao mà còn tạo nền tảng vững chắc để học các nội dung nâng cao hơn.
Chúng tôi cung cấp hướng dẫn từng bước giải bài tập, bao gồm:
Mỗi bài giải đều kèm theo lời giải thích chi tiết, giúp bạn hiểu không chỉ cách làm mà còn cả lý do tại sao nên áp dụng phương pháp đó.
Tất cả các bài tập đều đi kèm đáp án mới nhất, được kiểm tra kỹ lưỡng để đảm bảo độ chính xác cao. Điều này giúp bạn tự kiểm tra kết quả và khắc phục lỗi sai một cách nhanh chóng.
Ngoài ra, bài viết còn cung cấp các tài liệu bổ trợ như:
Chủ đề đề khảo sát hsg toán 8 năm 2025 – 2026 trường thcs tân thọ – thanh hóa là một phần kiến thức thú vị và hữu ích trong toán học. Hãy sử dụng bài viết này như một công cụ hỗ trợ để bạn chinh phục mọi thử thách trong môn Toán. Đừng quên ôn tập thường xuyên và luyện tập nhiều dạng bài tập khác nhau để thành thạo hơn!
Chúc các bạn học tốt và đạt kết quả cao! 😊
>> Xem thêm đáp án chi tiết về: đề khảo sát hsg toán 8 năm 2025 – 2026 trường thcs tân thọ – thanh hóa.