giaitoan.edu.vn giới thiệu đến quý thầy, cô giáo và các em học sinh đề thi khảo sát chất lượng lần 1 môn Toán 11 năm học 2025 – 2026 trường THPT Mai Anh Tuấn, tỉnh Thanh Hóa. Đề thi gồm 12 câu trắc nghiệm nhiều phương án lựa chọn (3,0 điểm) + 04 câu trắc nghiệm đúng sai (4,0 điểm) + 06 câu trắc nghiệm trả lời ngắn (3,0 điểm), thời gian làm bài 90 phút, có đáp án mã đề 211 212 213 214.
Trích dẫn Đề khảo sát lần 1 Toán 11 năm 2025 – 2026 trường THPT Mai Anh Tuấn – Thanh Hóa:
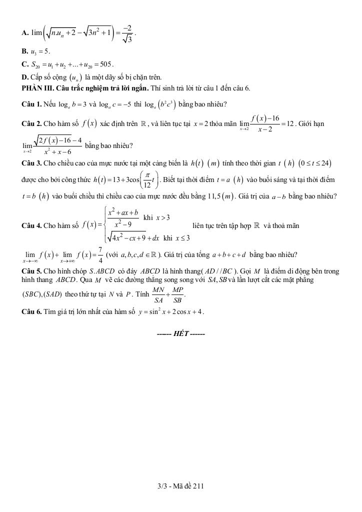
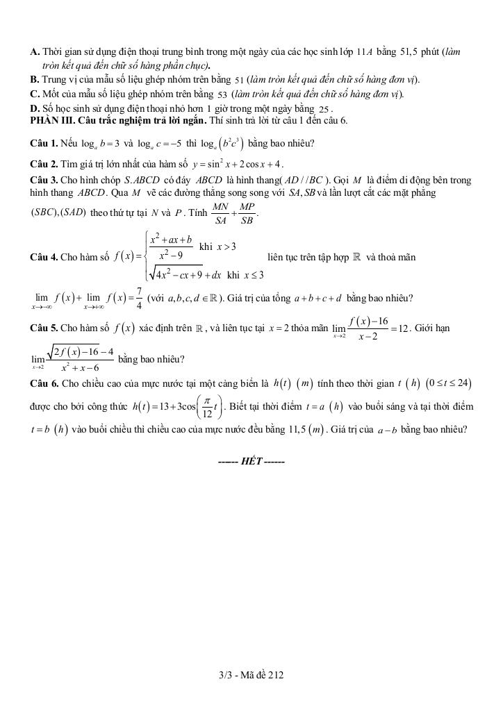
+ Số lượng khách nữ mua hàng thời trang một ngày của cửa hàng được thống kê trong bảng tần số ghép nhóm như sau: Nhóm tuổi: [20; 30) [30; 40) [40; 50) [50; 60) [60; 70) – Số khách hàng nữ: 3 9 6 4 2. Khoảng biến thiên của mẫu số liệu ghép nhóm trên là?
+ Anh X nhận hợp đồng làm việc cho một công ty Y với lương tháng đầu là 6 triệu. Trong điều khoản về lương, nếu anh X hoàn thành nhiệm vụ thì cứ sau 6 tháng được tăng 15% so với mức lương trước đó. Trong suốt quá trình làm việc, anh X đều hoàn thành nhiệm vụ của mình và được tăng lương đúng kỳ hạn. A. Tổng số tiền anh X nhận được từ tiền lương của công ty Y sau 4 năm kể từ ngày ký hợp đồng (làm tròn đến hàng phần trăm) là 494,17 triệu đồng. B. Coi mỗi 6 tháng anh X nhận lương như nhau là một kỳ và n u là lương mỗi tháng của kỳ thứ n, khi đó (un) là một cấp số cộng với công sai d = 1,15. C. Mức lương của anh X ở tháng thứ 11 kể từ khi ký hợp đồng lao động là 6,9 triệu đồng. D. Khi nhận lương hàng tháng, nếu anh X phải đóng bảo hiểm thất nghiệp 1,5% số tiền lương được nhận thì sau 10 năm kể từ ngày ký hợp đồng anh X đã đóng số tiền bảo hiểm thất nghiệp (làm tròn đến hàng phần trăm) là 55,32 triệu đồng.
+ Khảo sát thời gian sử dụng điện thoại trong một ngày của học sinh lớp 11A thu được mẫu số liệu ghép nhóm sau: Thời gian (phút): [0;20) [20;40) [40;60) [60;80) [80;100) – Số học sinh: 5 9 11 10 6. A. Số học sinh sử dụng điện thoại nhỏ hơn 1 giờ trong một ngày bằng 25. B. Mốt của mẫu số liệu ghép nhóm trên bằng 53 (làm tròn kết quả đến chữ số hàng đơn vị). C. Trung vị của mẫu số liệu ghép nhóm trên bằng 51 (làm tròn kết quả đến chữ số hàng đơn vị). D. Thời gian sử dụng điện thoại trung bình trong một ngày của các học sinh lớp 11A bằng 51,5 phút (làm tròn kết quả đến chữ số hàng phần chục.
File WORD (dành cho quý thầy, cô): TẢI XUỐNG








Giải Toán đề khảo sát lần 1 toán 11 năm 2025 – 2026 trường thpt mai anh tuấn – thanh hóa với Đáp Án Mới Nhất
Toán học luôn là một môn học quan trọng, giúp học sinh phát triển tư duy logic và kỹ năng giải quyết vấn đề. Để hỗ trợ các bạn học sinh và giáo viên trong việc học tập và giảng dạy, bài viết này sẽ cung cấp lời giải chi tiết và đáp án chính xác cho chủ đề đề khảo sát lần 1 toán 11 năm 2025 – 2026 trường thpt mai anh tuấn – thanh hóa, giúp bạn hiểu sâu và tự tin hơn khi làm bài tập.
đề khảo sát lần 1 toán 11 năm 2025 – 2026 trường thpt mai anh tuấn – thanh hóa là một trong những phần kiến thức quan trọng trong chương trình toán học, thường xuất hiện trong các bài kiểm tra và kỳ thi lớn. Việc nắm vững phần này không chỉ giúp bạn đạt điểm cao mà còn tạo nền tảng vững chắc để học các nội dung nâng cao hơn.
Chúng tôi cung cấp hướng dẫn từng bước giải bài tập, bao gồm:
Mỗi bài giải đều kèm theo lời giải thích chi tiết, giúp bạn hiểu không chỉ cách làm mà còn cả lý do tại sao nên áp dụng phương pháp đó.
Tất cả các bài tập đều đi kèm đáp án mới nhất, được kiểm tra kỹ lưỡng để đảm bảo độ chính xác cao. Điều này giúp bạn tự kiểm tra kết quả và khắc phục lỗi sai một cách nhanh chóng.
Ngoài ra, bài viết còn cung cấp các tài liệu bổ trợ như:
Chủ đề đề khảo sát lần 1 toán 11 năm 2025 – 2026 trường thpt mai anh tuấn – thanh hóa là một phần kiến thức thú vị và hữu ích trong toán học. Hãy sử dụng bài viết này như một công cụ hỗ trợ để bạn chinh phục mọi thử thách trong môn Toán. Đừng quên ôn tập thường xuyên và luyện tập nhiều dạng bài tập khác nhau để thành thạo hơn!
Chúc các bạn học tốt và đạt kết quả cao! 😊
>> Xem thêm đáp án chi tiết về: đề khảo sát lần 1 toán 11 năm 2025 – 2026 trường thpt mai anh tuấn – thanh hóa.