giaitoan.edu.vn giới thiệu đến quý thầy, cô giáo và các em học sinh đề khảo sát chất lượng định kì lần 1 môn Toán 12 năm học 2025 – 2026 trường THPT chuyên Bắc Ninh, tỉnh Bắc Ninh. Kỳ thi được diễn ra vào tháng 10 năm 2025.
Trích dẫn Đề khảo sát lần 1 Toán 12 năm 2025 – 2026 trường THPT chuyên Bắc Ninh:
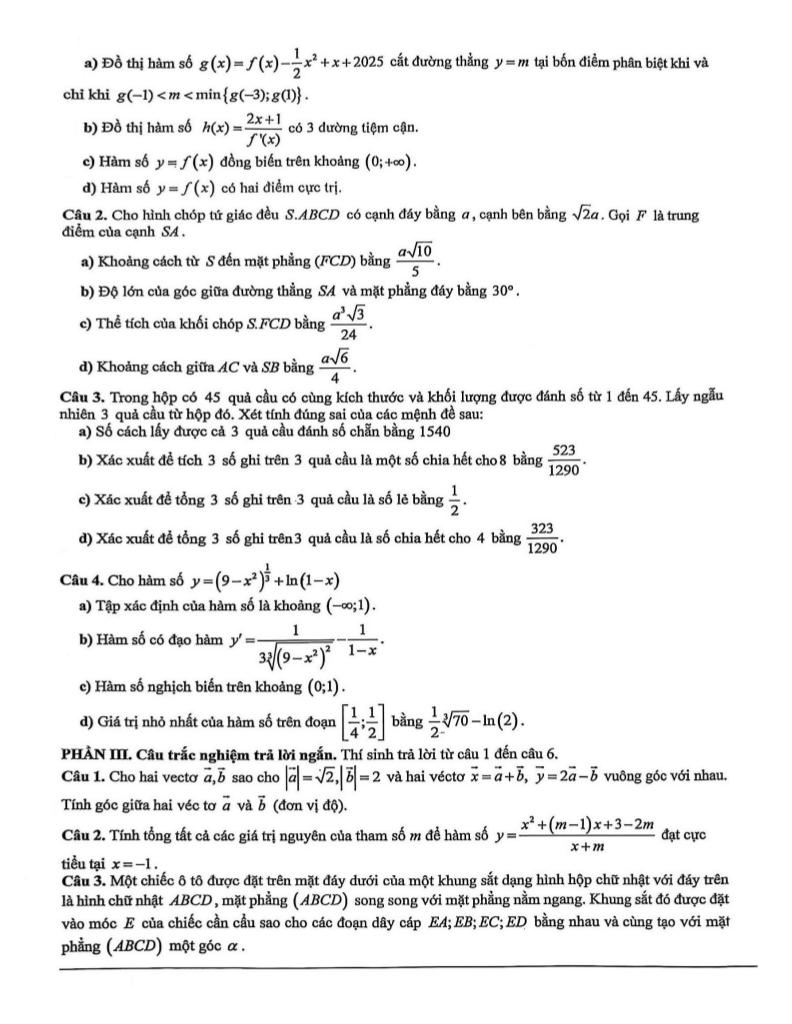
+ Một chiếc ô tô được đặt trên mặt đáy dưới của một khung sắt dạng hình hộp chữ nhật với đáy trên là hình chữ nhật ABCD, mặt phẳng (ABCD) song song với mặt phẳng nằm ngang. Khung sắt đó được đặt vào móc E của chiếc cần cẩu sao cho các đoạn dây cáp EA; EB; EC; ED bằng nhau và cùng tạo với mặt phẳng (ABCD) một góc а. Chiếc cần cẩu kéo khung sắt lên theo phương thẳng đứng. Biết các lực căng F1; F2; F3; F4 đều có cường độ là 4800 N, trọng lượng của cả khung sắt chứa xe ô tô là 7200√6 N. Tính sin a (làm tròn kết quả đến chữ số hàng phần trăm).
+ Cho hình tứ diện ABCD có tất cả các cạnh bằng 6. Gọi M, N lần lượt là trung điểm của CA, СВ. Р là điểm trên cạnh BD sao cho BP = 2PD. Gọi (H) là hình giới hạn bởi giao tuyến của mặt phẳng (MNP) với các mặt của tứ diện ABCD. Tính diện tích hình (H) (kết quả làm tròn đến hàng phần trăm).
+ Một người đàn ông muốn chèo thuyền ở vị trí A tới điểm B về phía hạ lưu bờ đối diện trên một bờ sông thẳng rộng 3 km (như hình vẽ). Anh chèo thuyền đến một điểm D giữa C và B và sau đó chạy đến B. Biết anh ấy có thể chèo thuyền 6 km/h, chạy 8 km/h và quãng đường BC = 8 km. Biết tốc độ của dòng nước là không đáng kể so với tốc độ chèo thuyền của người đàn ông. Khoảng thời gian ngắn nhất (đơn vị: giờ) để người đàn ông đến B là a + b/c.√d trong đó a, b, c, d thuộc N*, b/c là phân số tối giản và d là số nguyên tố. Giá trị của a + b + c + d bằng bao nhiêu?
Xem thêm đáp án: đề khảo sát lần 1 toán 12 năm 2025 – 2026 trường thpt chuyên bắc ninh




Giải Toán đề khảo sát lần 1 toán 12 năm 2025 – 2026 trường thpt chuyên bắc ninh với Đáp Án Mới Nhất
Toán học luôn là một môn học quan trọng, giúp học sinh phát triển tư duy logic và kỹ năng giải quyết vấn đề. Để hỗ trợ các bạn học sinh và giáo viên trong việc học tập và giảng dạy, bài viết này sẽ cung cấp lời giải chi tiết và đáp án chính xác cho chủ đề đề khảo sát lần 1 toán 12 năm 2025 – 2026 trường thpt chuyên bắc ninh, giúp bạn hiểu sâu và tự tin hơn khi làm bài tập.
đề khảo sát lần 1 toán 12 năm 2025 – 2026 trường thpt chuyên bắc ninh là một trong những phần kiến thức quan trọng trong chương trình toán học, thường xuất hiện trong các bài kiểm tra và kỳ thi lớn. Việc nắm vững phần này không chỉ giúp bạn đạt điểm cao mà còn tạo nền tảng vững chắc để học các nội dung nâng cao hơn.
Chúng tôi cung cấp hướng dẫn từng bước giải bài tập, bao gồm:
Mỗi bài giải đều kèm theo lời giải thích chi tiết, giúp bạn hiểu không chỉ cách làm mà còn cả lý do tại sao nên áp dụng phương pháp đó.
Tất cả các bài tập đều đi kèm đáp án mới nhất, được kiểm tra kỹ lưỡng để đảm bảo độ chính xác cao. Điều này giúp bạn tự kiểm tra kết quả và khắc phục lỗi sai một cách nhanh chóng.
Ngoài ra, bài viết còn cung cấp các tài liệu bổ trợ như:
Chủ đề đề khảo sát lần 1 toán 12 năm 2025 – 2026 trường thpt chuyên bắc ninh là một phần kiến thức thú vị và hữu ích trong toán học. Hãy sử dụng bài viết này như một công cụ hỗ trợ để bạn chinh phục mọi thử thách trong môn Toán. Đừng quên ôn tập thường xuyên và luyện tập nhiều dạng bài tập khác nhau để thành thạo hơn!
Chúc các bạn học tốt và đạt kết quả cao! 😊
>> Xem thêm đáp án chi tiết về: đề khảo sát lần 1 toán 12 năm 2025 – 2026 trường thpt chuyên bắc ninh.