giaitoan.edu.vn giới thiệu đến quý thầy, cô giáo và các em học sinh đề kiểm tra chất lượng lần 1 môn Toán 12 năm học 2025 – 2026 trường THPT Mai Anh Tuấn, tỉnh Thanh Hóa. Đề thi gồm 12 câu trắc nghiệm nhiều phương án lựa chọn (3,0 điểm) + 04 câu trắc nghiệm đúng sai (4,0 điểm) + 06 câu trắc nghiệm trả lời ngắn (3,0 điểm), thời gian làm bài 90 phút, có đáp án và lời giải chi tiết mã đề 311 – 312.
Trích dẫn Đề kiểm tra lần 1 Toán 12 năm 2025 – 2026 trường THPT Mai Anh Tuấn – Thanh Hóa:
+ Nhà thầy Quang cách bờ biển 1km. Mỗi buổi sáng thầy chạy bộ từ nhà ra bờ biển sau đó chạy dọc bờ biển 500 m, rồi thầy chạy qua chợ hải sản để lấy thức ăn trong ngày, cuối cùng thầy chạy về nhà. Biết chợ hải sản cách bờ biển 400 m và cách nhà thầy Quang 1km, tính quãng đường ngắn nhất mà thầy Quang đã chạy trong mỗi buổi sáng (đơn vị m và làm tròn đến hàng đơn vị).
+ Trong không gian Oxyz, một bức tường hình chữ nhật ABCD có chiều cao 3m được dựng vuông góc với mặt phẳng (Oxy) với hai điểm A(3;1;0) và B(1;4;0). Giả sử rằng mặt phẳng (Oxy) là mặt đất, trục Oz hướng lên trên và mỗi đơn vị trên hệ trục tương ứng với 1m. Một trạm phát sóng được đặt tại điểm M(5;6;5). Trạm phát sóng phát ra các sóng thẳng và truyền về mọi hướng nhưng khi gặp bức tường thì bị chắn lại vì vậy có một vùng sau bức tường không có sóng. Một chất điểm bắt đầu chuyển động thẳng đều trong mặt phẳng (Oxy) từ điểm N(-6;-4;0) qua gốc tọa độ O đến chân tường với vận tốc 0,8 m/s. Tính thời gian theo giây từ lúc chất điểm bắt đầu đi vào vùng mất sóng đến lúc chất điểm chạm vào chân tường và quay về vị trí ban đầu, giả thiết độ dày của bức tường là không đáng kể (kết quả làm tròn đến hàng phần chục).
+ Một vật chuyển động trong 4 giờ với vận tốc v (km/h) phụ thuộc thời gian t(h) có đồ thị của vận tốc như hình bên. Trong khoảng thời gian 2 giờ kể từ khi bắt đầu chuyển động, đồ thị đó là mổ phần của đường parabol có đỉnh I (2;7) và trục đối xứng của parabol song song với trục tung, khoảng thời gian còn lại đồ thị là đoạn thẳng IA. Tính quãng đường s mà vật di chuyển được trong 4 giờ đó. (kết quả làm ròn đến hàng phần chục).
File WORD (dành cho quý thầy, cô): TẢI XUỐNG
Xem thêm đáp án: đề kiểm tra lần 1 toán 12 năm 2025 – 2026 trường thpt mai anh tuấn – thanh hóa










Giải Toán đề kiểm tra lần 1 toán 12 năm 2025 – 2026 trường thpt mai anh tuấn – thanh hóa với Đáp Án Mới Nhất
Toán học luôn là một môn học quan trọng, giúp học sinh phát triển tư duy logic và kỹ năng giải quyết vấn đề. Để hỗ trợ các bạn học sinh và giáo viên trong việc học tập và giảng dạy, bài viết này sẽ cung cấp lời giải chi tiết và đáp án chính xác cho chủ đề đề kiểm tra lần 1 toán 12 năm 2025 – 2026 trường thpt mai anh tuấn – thanh hóa, giúp bạn hiểu sâu và tự tin hơn khi làm bài tập.
đề kiểm tra lần 1 toán 12 năm 2025 – 2026 trường thpt mai anh tuấn – thanh hóa là một trong những phần kiến thức quan trọng trong chương trình toán học, thường xuất hiện trong các bài kiểm tra và kỳ thi lớn. Việc nắm vững phần này không chỉ giúp bạn đạt điểm cao mà còn tạo nền tảng vững chắc để học các nội dung nâng cao hơn.
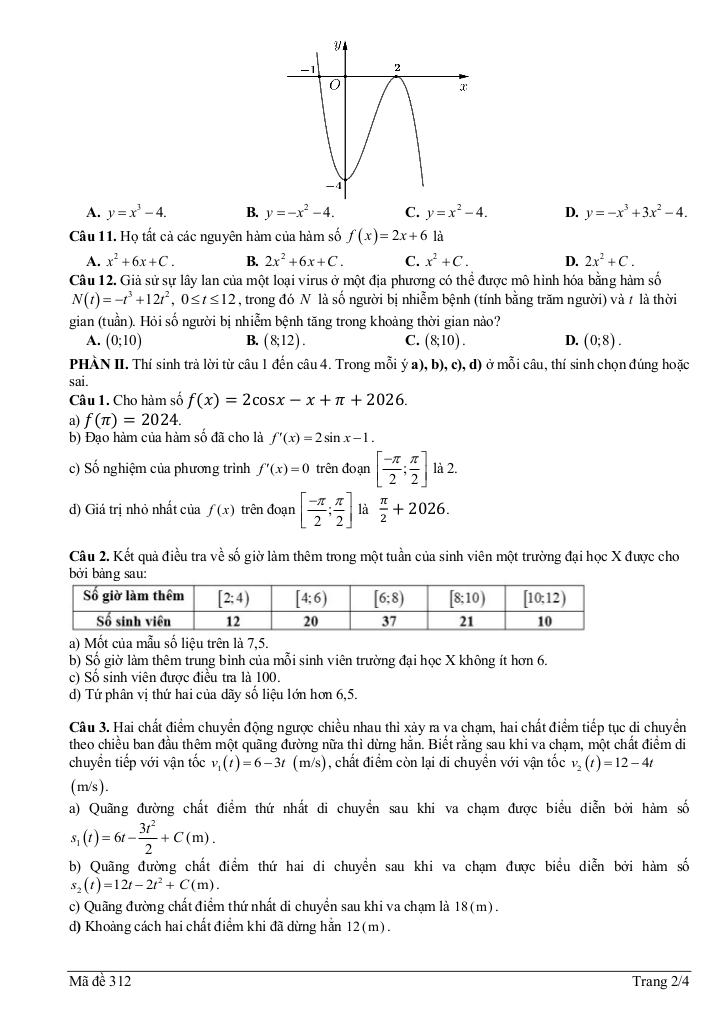
Chúng tôi cung cấp hướng dẫn từng bước giải bài tập, bao gồm:
Mỗi bài giải đều kèm theo lời giải thích chi tiết, giúp bạn hiểu không chỉ cách làm mà còn cả lý do tại sao nên áp dụng phương pháp đó.
Tất cả các bài tập đều đi kèm đáp án mới nhất, được kiểm tra kỹ lưỡng để đảm bảo độ chính xác cao. Điều này giúp bạn tự kiểm tra kết quả và khắc phục lỗi sai một cách nhanh chóng.
Ngoài ra, bài viết còn cung cấp các tài liệu bổ trợ như:
Chủ đề đề kiểm tra lần 1 toán 12 năm 2025 – 2026 trường thpt mai anh tuấn – thanh hóa là một phần kiến thức thú vị và hữu ích trong toán học. Hãy sử dụng bài viết này như một công cụ hỗ trợ để bạn chinh phục mọi thử thách trong môn Toán. Đừng quên ôn tập thường xuyên và luyện tập nhiều dạng bài tập khác nhau để thành thạo hơn!
Chúc các bạn học tốt và đạt kết quả cao! 😊
>> Xem thêm đáp án chi tiết về: đề kiểm tra lần 1 toán 12 năm 2025 – 2026 trường thpt mai anh tuấn – thanh hóa.