giaitoan.edu.vn giới thiệu đến quý thầy, cô giáo và các em học sinh đề ôn luyện kiểm tra cuối học kì 1 môn Toán 9 năm học 2025 – 2026 trường TH&THCS Lâm Thao, xã Lâm Thao, tỉnh Bắc Ninh. Đề thi hình thức 40% trắc nghiệm nhiều lựa chọn (16 câu) kết hợp với 60% tự luận (05 câu), thời gian làm bài 90 phút.
Trích dẫn Đề ôn luyện cuối kì 1 Toán 9 năm 2025 – 2026 trường TH&THCS Lâm Thao – Bắc Ninh:
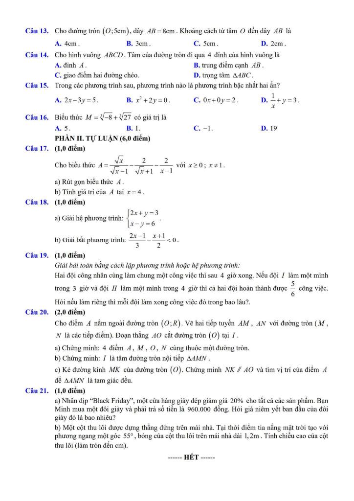
+ Hai ô tô khởi hành cùng một lúc từ hai địa điểm A và B cách nhau 200 km và đi ngược chiều nhau. Sau 2 giờ thì chúng gặp nhau. Tính vận tốc của mỗi ô tô, biết rằng vận tốc của ô tô đi từ A lớn hơn vận tốc của ô tô đi từ B là 10 km/h.
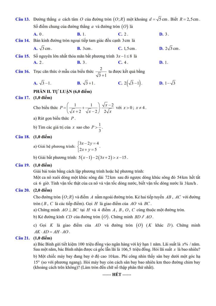
+ Cho nửa đường tròn (O; R) đường kính AB. Trên nửa mặt phẳng bờ AB chứa nửa đường tròn, kẻ hai tiếp tuyến Ax, By với nửa đường tròn. Lấy điểm M bất kì thuộc nửa đường tròn (M khác A và B). Qua M kẻ tiếp tuyến thứ ba cắt Ax, By lần lượt tại C và D. a) Chứng minh: 4 điểm A, C, M, O cùng thuộc một đường tròn. b) Chứng minh: CD = AC + BD và tam giác COD vuông. c) Gọi H là giao điểm của AM và OC, K là giao điểm của BM và OD. Chứng minh tứ giác OHMK là hình chữ nhật.
+ Một gia đình sử dụng điện sinh hoạt theo đơn giá bậc thang (chưa gồm thuế VAT 10%) như sau: Bậc 1: Cho 50 kWh đầu tiên, giá 1.678 đồng/kWh. Bậc 2: Cho kWh từ 51 đến 100, giá 1.734 đồng/kWh. Tháng 11, gia đình đó dùng hết 80 kWh điện. Hỏi gia đình đó phải trả bao nhiêu tiền (bao gồm cả thuế VAT 10%)?










Giải Toán đề ôn luyện cuối kì 1 toán 9 năm 2025 – 2026 trường th&thcs lâm thao – bắc ninh với Đáp Án Mới Nhất
Toán học luôn là một môn học quan trọng, giúp học sinh phát triển tư duy logic và kỹ năng giải quyết vấn đề. Để hỗ trợ các bạn học sinh và giáo viên trong việc học tập và giảng dạy, bài viết này sẽ cung cấp lời giải chi tiết và đáp án chính xác cho chủ đề đề ôn luyện cuối kì 1 toán 9 năm 2025 – 2026 trường th&thcs lâm thao – bắc ninh, giúp bạn hiểu sâu và tự tin hơn khi làm bài tập.
đề ôn luyện cuối kì 1 toán 9 năm 2025 – 2026 trường th&thcs lâm thao – bắc ninh là một trong những phần kiến thức quan trọng trong chương trình toán học, thường xuất hiện trong các bài kiểm tra và kỳ thi lớn. Việc nắm vững phần này không chỉ giúp bạn đạt điểm cao mà còn tạo nền tảng vững chắc để học các nội dung nâng cao hơn.
Chúng tôi cung cấp hướng dẫn từng bước giải bài tập, bao gồm:
Mỗi bài giải đều kèm theo lời giải thích chi tiết, giúp bạn hiểu không chỉ cách làm mà còn cả lý do tại sao nên áp dụng phương pháp đó.
Tất cả các bài tập đều đi kèm đáp án mới nhất, được kiểm tra kỹ lưỡng để đảm bảo độ chính xác cao. Điều này giúp bạn tự kiểm tra kết quả và khắc phục lỗi sai một cách nhanh chóng.
Ngoài ra, bài viết còn cung cấp các tài liệu bổ trợ như:
Chủ đề đề ôn luyện cuối kì 1 toán 9 năm 2025 – 2026 trường th&thcs lâm thao – bắc ninh là một phần kiến thức thú vị và hữu ích trong toán học. Hãy sử dụng bài viết này như một công cụ hỗ trợ để bạn chinh phục mọi thử thách trong môn Toán. Đừng quên ôn tập thường xuyên và luyện tập nhiều dạng bài tập khác nhau để thành thạo hơn!
Chúc các bạn học tốt và đạt kết quả cao! 😊
>> Xem thêm đáp án chi tiết về: đề ôn luyện cuối kì 1 toán 9 năm 2025 – 2026 trường th&thcs lâm thao – bắc ninh.