giaitoan.edu.vn giới thiệu đến quý thầy, cô giáo và các em học sinh đề thi chọn học sinh giỏi môn Toán 10 năm học 2025 – 2026 trường THPT Thuận Thành số 1, tỉnh Bắc Ninh. Đề thi gồm 20 câu trắc nghiệm nhiều phương án lựa chọn (6,0 điểm) + 08 câu trắc nghiệm đúng sai (8,0 điểm) + 06 câu trắc nghiệm trả lời ngắn (6,0 điểm), thời gian làm bài 90 phút, có đáp án mã đề 0101 – 0102.
Trích dẫn Đề thi chọn HSG Toán 10 năm 2025 – 2026 trường THPT Thuận Thành 1 – Bắc Ninh:
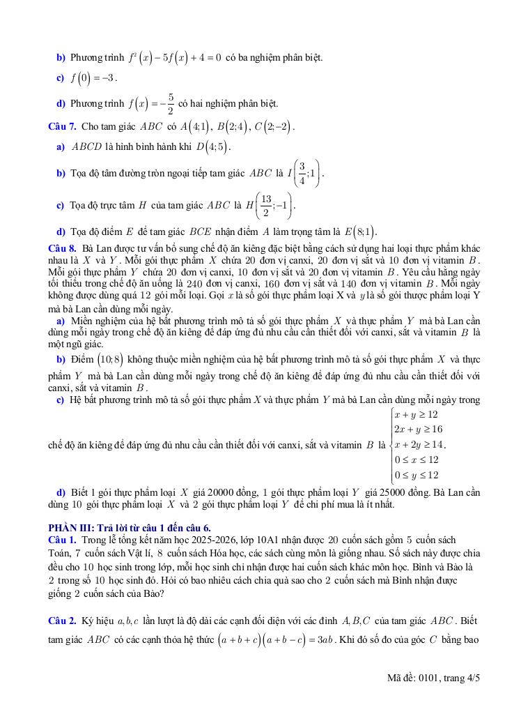
+ Trong lễ tổng kết năm học 2025-2026, lớp 10A1 nhận được 20 cuốn sách gồm 5 cuốn sách Toán, 7 cuốn sách Vật lí, 8 cuốn sách Hóa học, các sách cùng môn là giống nhau. Số sách này được chia đều cho 10 học sinh trong lớp, mỗi học sinh chỉ nhận được hai cuốn sách khác môn học. Bình và Bảo là 2 trong số 10 học sinh đó. Hỏi có bao nhiêu cách chia quà sao cho 2 cuốn sách mà Bình nhận được giống 2 cuốn sách của Bảo?
+ Tham gia hội khỏe Phù Đổng, lớp 10A có 45 học sinh, trong đó 25 học sinh thi chạy, 20 học sinh thi nhảy xa, 15 học sinh thi nhảy cao, 7 học sinh không tham gia môn nào, 5 học sinh tham gia cả 3 môn. Số học sinh chỉ tham gia một trong 3 môn trên bằng bao nhiêu?
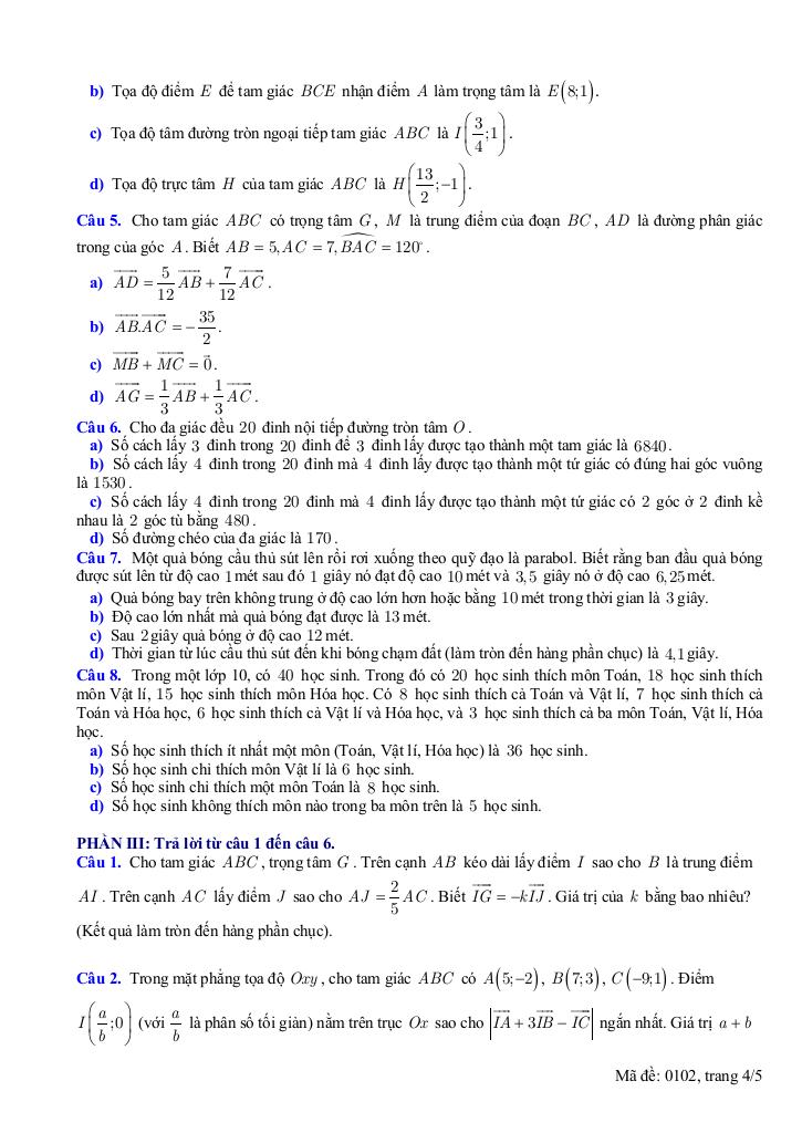
+ Một quả bóng cầu thủ sút lên rồi rơi xuống theo quỹ đạo là parabol. Biết rằng ban đầu quả bóng được sút lên từ độ cao 1mét sau đó 1 giây nó đạt độ cao 10 mét và 3,5 giây nó ở độ cao 6,25 mét. a) Độ cao lớn nhất mà quả bóng đạt được là 13 mét. b) Quả bóng bay trên không trung ở độ cao lớn hơn hoặc bằng 10 mét trong thời gian là 3 giây. c) Sau 2 giây quả bóng ở độ cao 12 mét. d) Thời gian từ lúc cầu thủ sút đến khi bóng chạm đất (làm tròn đến hàng phần chục) là 4,1 giây.
File WORD (dành cho quý thầy, cô): TẢI XUỐNG










Giải Toán đề thi chọn hsg toán 10 năm 2025 – 2026 trường thpt thuận thành 1 – bắc ninh với Đáp Án Mới Nhất
Toán học luôn là một môn học quan trọng, giúp học sinh phát triển tư duy logic và kỹ năng giải quyết vấn đề. Để hỗ trợ các bạn học sinh và giáo viên trong việc học tập và giảng dạy, bài viết này sẽ cung cấp lời giải chi tiết và đáp án chính xác cho chủ đề đề thi chọn hsg toán 10 năm 2025 – 2026 trường thpt thuận thành 1 – bắc ninh, giúp bạn hiểu sâu và tự tin hơn khi làm bài tập.
đề thi chọn hsg toán 10 năm 2025 – 2026 trường thpt thuận thành 1 – bắc ninh là một trong những phần kiến thức quan trọng trong chương trình toán học, thường xuất hiện trong các bài kiểm tra và kỳ thi lớn. Việc nắm vững phần này không chỉ giúp bạn đạt điểm cao mà còn tạo nền tảng vững chắc để học các nội dung nâng cao hơn.
Chúng tôi cung cấp hướng dẫn từng bước giải bài tập, bao gồm:
Mỗi bài giải đều kèm theo lời giải thích chi tiết, giúp bạn hiểu không chỉ cách làm mà còn cả lý do tại sao nên áp dụng phương pháp đó.
Tất cả các bài tập đều đi kèm đáp án mới nhất, được kiểm tra kỹ lưỡng để đảm bảo độ chính xác cao. Điều này giúp bạn tự kiểm tra kết quả và khắc phục lỗi sai một cách nhanh chóng.
Ngoài ra, bài viết còn cung cấp các tài liệu bổ trợ như:
Chủ đề đề thi chọn hsg toán 10 năm 2025 – 2026 trường thpt thuận thành 1 – bắc ninh là một phần kiến thức thú vị và hữu ích trong toán học. Hãy sử dụng bài viết này như một công cụ hỗ trợ để bạn chinh phục mọi thử thách trong môn Toán. Đừng quên ôn tập thường xuyên và luyện tập nhiều dạng bài tập khác nhau để thành thạo hơn!
Chúc các bạn học tốt và đạt kết quả cao! 😊
>> Xem thêm đáp án chi tiết về: đề thi chọn hsg toán 10 năm 2025 – 2026 trường thpt thuận thành 1 – bắc ninh.