giaitoan.edu.vn giới thiệu đến quý thầy, cô giáo và các em học sinh đề thi giao lưu Olympic môn Toán 8 năm học 2025 – 2026 cụm trường THCS, thành phố Hà Nội. Đề thi có đáp án, lời giải chi tiết và hướng dẫn chấm điểm.
Trích dẫn Đề thi giao lưu Olympic Toán 8 năm 2025 – 2026 cụm trường THCS – Hà Nội:
+ Số nhà của bạn Hòa là một số tự nhiên không chia hết cho 4 và số đó cộng với tổng các chữ số của nó bằng 2025. Hỏi số nhà bạn Hòa là bao nhiêu.
+ Trong một hộp kín có 6 viên bi đỏ, 3 viên bi xanh, các viên bi có kích thước, khối lượng và hình dạng như nhau chỉ khác màu sắc. Lấy ngẫu nhiên 1 viên bi từ trong hộp. a/ Tính xác suất của biến cố E: “Lấy được viên bi màu đỏ”. b/ Thêm vào hộp một số viên bi màu đỏ, màu xanh sao cho xác suất chọn được một viên bi mỗi màu như biến cố E ở ý a. Hỏi cần thêm ít nhất bao nhiêu viên bi mỗi màu?
+ Cho ∆ABC vuông tại A có đường trung tuyến BN. Qua N kẻ đường thẳng song song với BC cắt AB tại M. Qua M kẻ đường thẳng vuông góc với AB cắt BC tại D, kẻ MH ⊥ BC tại H. a/ Chứng minh tứ giác AMDN là hình chữ nhật; tứ giác BMND là hình bình hành. b/ Gọi K là điểm đối xứng với M qua D. CMR: AH ⊥ HK. c/ Gọi G là giao điểm của AD và BN, O là trung điểm của DN. Chứng minh 3 điểm G; O; C thẳng hàng. d/ Tia phân giác của BMN cắt BN tại E, tia phân giác của MND cắt MD tại F. Chứng minh EF // GD.
File WORD (dành cho quý thầy, cô): TẢI XUỐNG





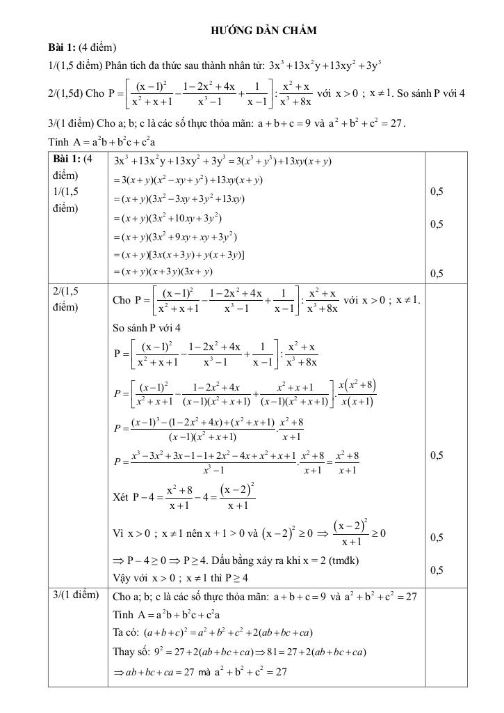
Giải Toán đề thi giao lưu olympic toán 8 năm 2025 – 2026 cụm trường thcs – hà nội với Đáp Án Mới Nhất
Toán học luôn là một môn học quan trọng, giúp học sinh phát triển tư duy logic và kỹ năng giải quyết vấn đề. Để hỗ trợ các bạn học sinh và giáo viên trong việc học tập và giảng dạy, bài viết này sẽ cung cấp lời giải chi tiết và đáp án chính xác cho chủ đề đề thi giao lưu olympic toán 8 năm 2025 – 2026 cụm trường thcs – hà nội, giúp bạn hiểu sâu và tự tin hơn khi làm bài tập.
đề thi giao lưu olympic toán 8 năm 2025 – 2026 cụm trường thcs – hà nội là một trong những phần kiến thức quan trọng trong chương trình toán học, thường xuất hiện trong các bài kiểm tra và kỳ thi lớn. Việc nắm vững phần này không chỉ giúp bạn đạt điểm cao mà còn tạo nền tảng vững chắc để học các nội dung nâng cao hơn.
Chúng tôi cung cấp hướng dẫn từng bước giải bài tập, bao gồm:
Mỗi bài giải đều kèm theo lời giải thích chi tiết, giúp bạn hiểu không chỉ cách làm mà còn cả lý do tại sao nên áp dụng phương pháp đó.
Tất cả các bài tập đều đi kèm đáp án mới nhất, được kiểm tra kỹ lưỡng để đảm bảo độ chính xác cao. Điều này giúp bạn tự kiểm tra kết quả và khắc phục lỗi sai một cách nhanh chóng.
Ngoài ra, bài viết còn cung cấp các tài liệu bổ trợ như:
Chủ đề đề thi giao lưu olympic toán 8 năm 2025 – 2026 cụm trường thcs – hà nội là một phần kiến thức thú vị và hữu ích trong toán học. Hãy sử dụng bài viết này như một công cụ hỗ trợ để bạn chinh phục mọi thử thách trong môn Toán. Đừng quên ôn tập thường xuyên và luyện tập nhiều dạng bài tập khác nhau để thành thạo hơn!
Chúc các bạn học tốt và đạt kết quả cao! 😊
>> Xem thêm đáp án chi tiết về: đề thi giao lưu olympic toán 8 năm 2025 – 2026 cụm trường thcs – hà nội.