giaitoan.edu.vn giới thiệu đến quý thầy, cô giáo và các em học sinh đề thi chọn học sinh giỏi môn Toán 11 năm học 2025 – 2026 trường THPT Quảng Trị, tỉnh Quảng Trị. Đề thi có đáp án, lời giải chi tiết và hướng dẫn chấm điểm.
Trích dẫn Đề thi học sinh giỏi Toán 11 năm 2025 – 2026 trường THPT Quảng Trị – Quảng Trị:
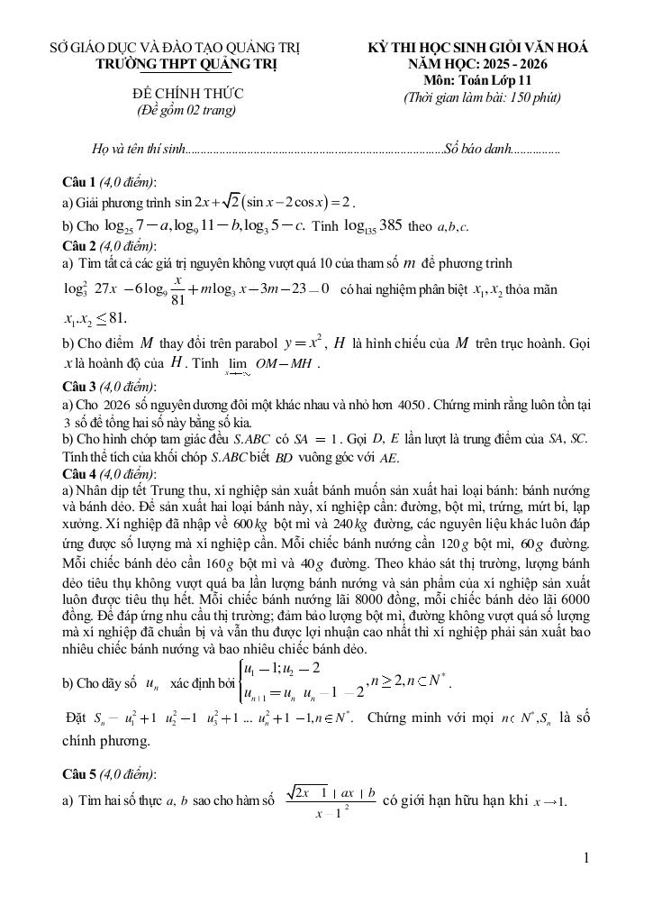
+ Cho 2026 số nguyên dương đôi một khác nhau và nhỏ hơn 4050. Chứng minh rằng luôn tồn tại 3 số để tổng hai số này bằng số kia.
+ Cho hình chóp tam giác đều giaitoan.edu.vn có SA = 1. Gọi D, E lần lượt là trung điểm của SA, SC. Tính thể tích của khối chóp giaitoan.edu.vn biết BD vuông góc với AE.
+ Nhân dịp tết Trung thu, xí nghiệp sản xuất bánh muốn sản xuất hai loại bánh: bánh nướng và bánh dẻo. Để sản xuất hai loại bánh này, xí nghiệp cần: đường, bột mì, trứng, mứt bí, lạp xưởng. Xí nghiệp đã nhập về 600kg bột mì và 240kg đường, các nguyên liệu khác luôn đáp ứng được số lượng mà xí nghiệp cần. Mỗi chiếc bánh nướng cần 120g bột mì, 60g đường. Mỗi chiếc bánh dẻo cần 160g bột mì và 40g đường. Theo khảo sát thị trường, lượng bánh dẻo tiêu thụ không vượt quá ba lần lượng bánh nướng và sản phẩm của xí nghiệp sản xuất luôn được tiêu thụ hết. Mỗi chiếc bánh nướng lãi 8000 đồng, mỗi chiếc bánh dẻo lãi 6000 đồng. Để đáp ứng nhu cầu thị trường; đảm bảo lượng bột mì, đường không vượt quá số lượng mà xí nghiệp đã chuẩn bị và vẫn thu được lợi nhuận cao nhất thì xí nghiệp phải sản xuất bao nhiêu chiếc bánh nướng và bao nhiêu chiếc bánh dẻo.







Giải Toán đề thi học sinh giỏi toán 11 năm 2025 – 2026 trường thpt quảng trị – quảng trị với Đáp Án Mới Nhất
Toán học luôn là một môn học quan trọng, giúp học sinh phát triển tư duy logic và kỹ năng giải quyết vấn đề. Để hỗ trợ các bạn học sinh và giáo viên trong việc học tập và giảng dạy, bài viết này sẽ cung cấp lời giải chi tiết và đáp án chính xác cho chủ đề đề thi học sinh giỏi toán 11 năm 2025 – 2026 trường thpt quảng trị – quảng trị, giúp bạn hiểu sâu và tự tin hơn khi làm bài tập.
đề thi học sinh giỏi toán 11 năm 2025 – 2026 trường thpt quảng trị – quảng trị là một trong những phần kiến thức quan trọng trong chương trình toán học, thường xuất hiện trong các bài kiểm tra và kỳ thi lớn. Việc nắm vững phần này không chỉ giúp bạn đạt điểm cao mà còn tạo nền tảng vững chắc để học các nội dung nâng cao hơn.
Chúng tôi cung cấp hướng dẫn từng bước giải bài tập, bao gồm:
Mỗi bài giải đều kèm theo lời giải thích chi tiết, giúp bạn hiểu không chỉ cách làm mà còn cả lý do tại sao nên áp dụng phương pháp đó.
Tất cả các bài tập đều đi kèm đáp án mới nhất, được kiểm tra kỹ lưỡng để đảm bảo độ chính xác cao. Điều này giúp bạn tự kiểm tra kết quả và khắc phục lỗi sai một cách nhanh chóng.
Ngoài ra, bài viết còn cung cấp các tài liệu bổ trợ như:
Chủ đề đề thi học sinh giỏi toán 11 năm 2025 – 2026 trường thpt quảng trị – quảng trị là một phần kiến thức thú vị và hữu ích trong toán học. Hãy sử dụng bài viết này như một công cụ hỗ trợ để bạn chinh phục mọi thử thách trong môn Toán. Đừng quên ôn tập thường xuyên và luyện tập nhiều dạng bài tập khác nhau để thành thạo hơn!
Chúc các bạn học tốt và đạt kết quả cao! 😊
>> Xem thêm đáp án chi tiết về: đề thi học sinh giỏi toán 11 năm 2025 – 2026 trường thpt quảng trị – quảng trị.