giaitoan.edu.vn giới thiệu đến quý thầy, cô giáo và các em học sinh đề thi Olympic cấp xã môn Toán 7 năm học 2025 – 2026 xã Nghĩa Lộc, tỉnh Nghệ An. Đề thi có đáp án, lời giải chi tiết và hướng dẫn chấm điểm.
Trích dẫn Đề thi Olympic cấp xã Toán 7 năm 2025 – 2026 xã Nghĩa Lộc – Nghệ An:
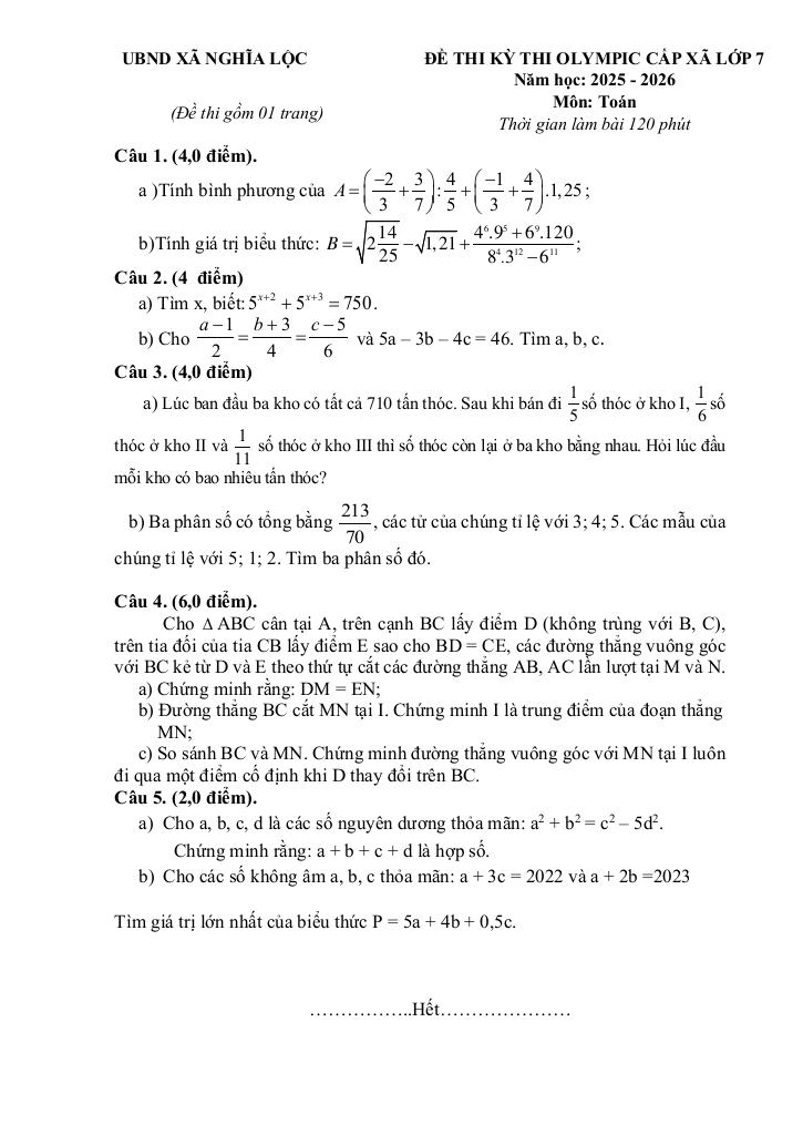
+ Lúc ban đầu ba kho có tất cả 710 tấn thóc. Sau khi bán đi 1/5 số thóc ở kho I, 1/6 số thóc ở kho II và 1/11 số thóc ở kho III thì số thóc còn lại ở ba kho bằng nhau. Hỏi lúc đầu mỗi kho có bao nhiêu tấn thóc?
+ Ba phân số có tổng bằng 213/70, các tử của chúng tỉ lệ với 3; 4; 5. Các mẫu của chúng tỉ lệ với 5; 1; 2. Tìm ba phân số đó.
+ Cho ∆ABC cân tại A, trên cạnh BC lấy điểm D (không trùng với B, C), trên tia đối của tia CB lấy điểm E sao cho BD = CE, các đường thẳng vuông góc với BC kẻ từ D và E theo thứ tự cắt các đường thẳng AB, AC lần lượt tại M và N. a) Chứng minh rằng: DM = EN; b) Đường thẳng BC cắt MN tại I. Chứng minh I là trung điểm của đoạn thẳng MN; c) So sánh BC và MN. Chứng minh đường thẳng vuông góc với MN tại I luôn đi qua một điểm cố định khi D thay đổi trên BC.
File WORD (dành cho quý thầy, cô): TẢI XUỐNG






Giải Toán đề thi olympic cấp xã toán 7 năm 2025 – 2026 xã nghĩa lộc – nghệ an với Đáp Án Mới Nhất
Toán học luôn là một môn học quan trọng, giúp học sinh phát triển tư duy logic và kỹ năng giải quyết vấn đề. Để hỗ trợ các bạn học sinh và giáo viên trong việc học tập và giảng dạy, bài viết này sẽ cung cấp lời giải chi tiết và đáp án chính xác cho chủ đề đề thi olympic cấp xã toán 7 năm 2025 – 2026 xã nghĩa lộc – nghệ an, giúp bạn hiểu sâu và tự tin hơn khi làm bài tập.
đề thi olympic cấp xã toán 7 năm 2025 – 2026 xã nghĩa lộc – nghệ an là một trong những phần kiến thức quan trọng trong chương trình toán học, thường xuất hiện trong các bài kiểm tra và kỳ thi lớn. Việc nắm vững phần này không chỉ giúp bạn đạt điểm cao mà còn tạo nền tảng vững chắc để học các nội dung nâng cao hơn.
Chúng tôi cung cấp hướng dẫn từng bước giải bài tập, bao gồm:
Mỗi bài giải đều kèm theo lời giải thích chi tiết, giúp bạn hiểu không chỉ cách làm mà còn cả lý do tại sao nên áp dụng phương pháp đó.
Tất cả các bài tập đều đi kèm đáp án mới nhất, được kiểm tra kỹ lưỡng để đảm bảo độ chính xác cao. Điều này giúp bạn tự kiểm tra kết quả và khắc phục lỗi sai một cách nhanh chóng.
Ngoài ra, bài viết còn cung cấp các tài liệu bổ trợ như:
Chủ đề đề thi olympic cấp xã toán 7 năm 2025 – 2026 xã nghĩa lộc – nghệ an là một phần kiến thức thú vị và hữu ích trong toán học. Hãy sử dụng bài viết này như một công cụ hỗ trợ để bạn chinh phục mọi thử thách trong môn Toán. Đừng quên ôn tập thường xuyên và luyện tập nhiều dạng bài tập khác nhau để thành thạo hơn!
Chúc các bạn học tốt và đạt kết quả cao! 😊
>> Xem thêm đáp án chi tiết về: đề thi olympic cấp xã toán 7 năm 2025 – 2026 xã nghĩa lộc – nghệ an.