giaitoan.edu.vn giới thiệu đến quý thầy, cô giáo và các em học sinh đề thi thử học sinh giỏi môn Toán 6 lần 2 năm học 2025 – 2026 trường THCS Nga Thiện, xã Ba Đình, tỉnh Thanh Hóa. Kỳ thi được diễn ra vào ngày 14 tháng 03 năm 2026. Đề thi có đáp án, lời giải chi tiết và hướng dẫn chấm điểm.
Trích dẫn Đề thi thử HSG Toán 6 lần 2 năm 2025 – 2026 trường THCS Nga Thiện – Thanh Hóa:
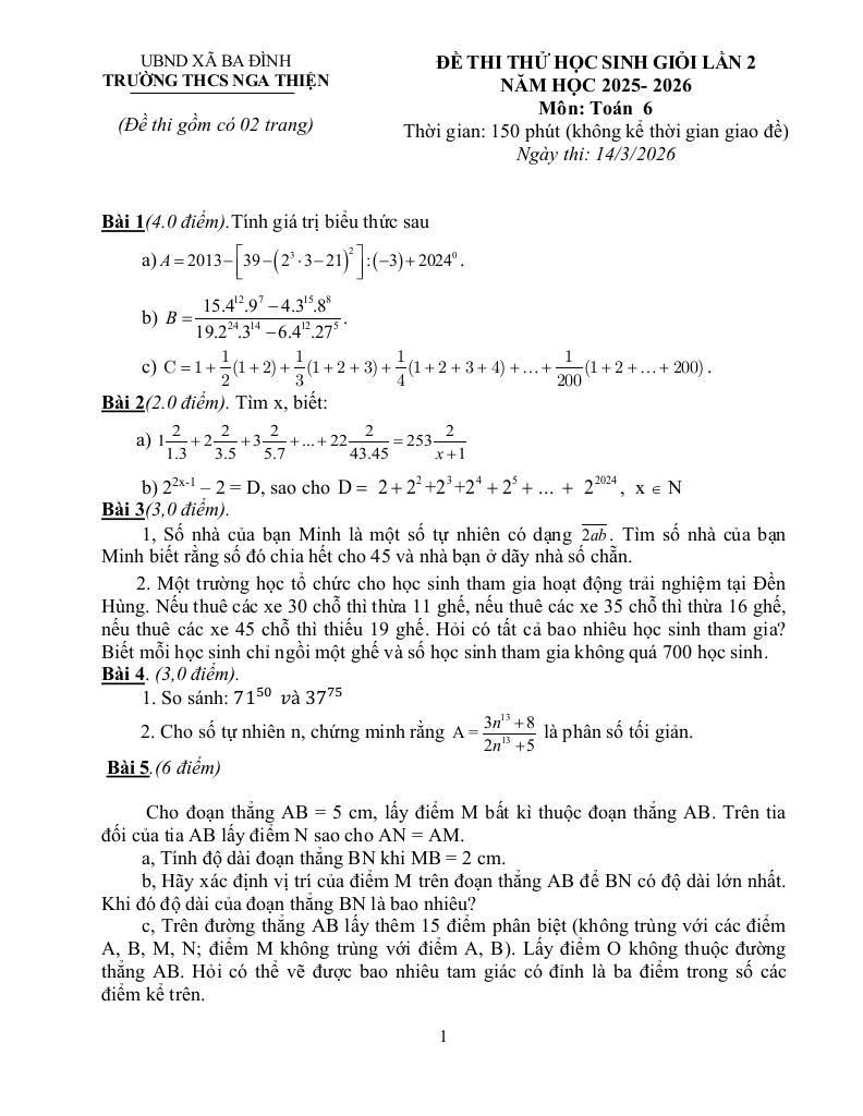
+ Số nhà của bạn Minh là một số tự nhiên có dạng 2ab. Tìm số nhà của bạn Minh biết rằng số đó chia hết cho 45 và nhà bạn ở dãy nhà số chẵn.
+ Một trường học tổ chức cho học sinh tham gia hoạt động trải nghiệm tại Đền Hùng. Nếu thuê các xe 30 chỗ thì thừa 11 ghế, nếu thuê các xe 35 chỗ thì thừa 16 ghế, nếu thuê các xe 45 chỗ thì thiếu 19 ghế. Hỏi có tất cả bao nhiêu học sinh tham gia? Biết mỗi học sinh chỉ ngồi một ghế và số học sinh tham gia không quá 700 học sinh.
+ Cho đoạn thẳng AB = 5 cm, lấy điểm M bất kì thuộc đoạn thẳng AB. Trên tia đối của tia AB lấy điểm N sao cho AN = AM. a. Tính độ dài đoạn thẳng BN khi MB = 2 cm. b. Hãy xác định vị trí của điểm M trên đoạn thẳng AB để BN có độ dài lớn nhất. Khi đó độ dài của đoạn thẳng BN là bao nhiêu? c. Trên đường thẳng AB lấy thêm 15 điểm phân biệt (không trùng với các điểm A, B, M, N; điểm M không trùng với điểm A, B). Lấy điểm O không thuộc đường thẳng AB. Hỏi có thể vẽ được bao nhiêu tam giác có đỉnh là ba điểm trong số các điểm kể trên.
File WORD (dành cho quý thầy, cô): TẢI XUỐNG







Giải Toán đề thi thử hsg toán 6 lần 2 năm 2025 – 2026 trường thcs nga thiện – thanh hóa với Đáp Án Mới Nhất
Toán học luôn là một môn học quan trọng, giúp học sinh phát triển tư duy logic và kỹ năng giải quyết vấn đề. Để hỗ trợ các bạn học sinh và giáo viên trong việc học tập và giảng dạy, bài viết này sẽ cung cấp lời giải chi tiết và đáp án chính xác cho chủ đề đề thi thử hsg toán 6 lần 2 năm 2025 – 2026 trường thcs nga thiện – thanh hóa, giúp bạn hiểu sâu và tự tin hơn khi làm bài tập.
đề thi thử hsg toán 6 lần 2 năm 2025 – 2026 trường thcs nga thiện – thanh hóa là một trong những phần kiến thức quan trọng trong chương trình toán học, thường xuất hiện trong các bài kiểm tra và kỳ thi lớn. Việc nắm vững phần này không chỉ giúp bạn đạt điểm cao mà còn tạo nền tảng vững chắc để học các nội dung nâng cao hơn.
Chúng tôi cung cấp hướng dẫn từng bước giải bài tập, bao gồm:
Mỗi bài giải đều kèm theo lời giải thích chi tiết, giúp bạn hiểu không chỉ cách làm mà còn cả lý do tại sao nên áp dụng phương pháp đó.
Tất cả các bài tập đều đi kèm đáp án mới nhất, được kiểm tra kỹ lưỡng để đảm bảo độ chính xác cao. Điều này giúp bạn tự kiểm tra kết quả và khắc phục lỗi sai một cách nhanh chóng.
Ngoài ra, bài viết còn cung cấp các tài liệu bổ trợ như:
Chủ đề đề thi thử hsg toán 6 lần 2 năm 2025 – 2026 trường thcs nga thiện – thanh hóa là một phần kiến thức thú vị và hữu ích trong toán học. Hãy sử dụng bài viết này như một công cụ hỗ trợ để bạn chinh phục mọi thử thách trong môn Toán. Đừng quên ôn tập thường xuyên và luyện tập nhiều dạng bài tập khác nhau để thành thạo hơn!
Chúc các bạn học tốt và đạt kết quả cao! 😊
>> Xem thêm đáp án chi tiết về: đề thi thử hsg toán 6 lần 2 năm 2025 – 2026 trường thcs nga thiện – thanh hóa.