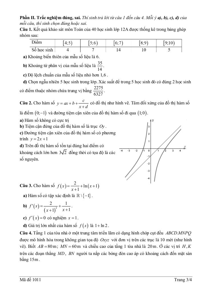
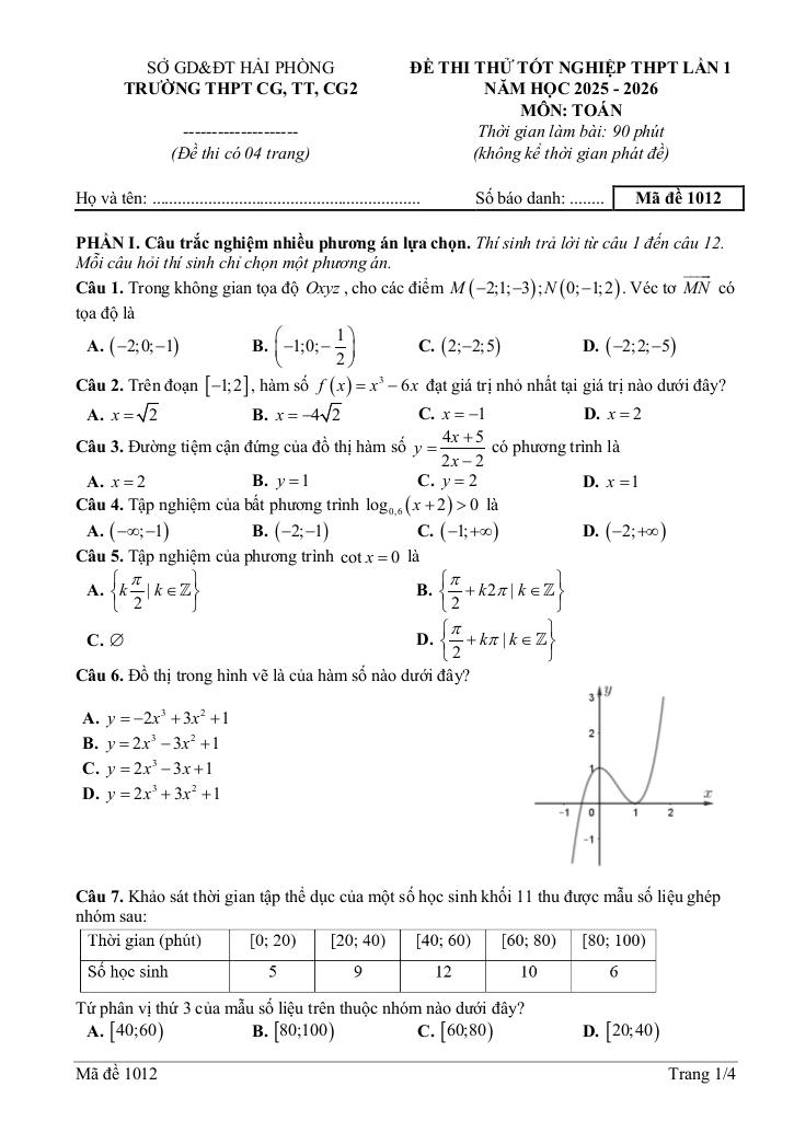
giaitoan.edu.vn giới thiệu đến quý thầy, cô giáo và các em học sinh đề thi thử tốt nghiệp THPT năm học 2025 – 2026 lần 1 môn Toán trường THPT CG-TT-CG2, thành phố Hải Phòng. Đề thi có đáp án mã đề 1011 1012 1013 1014 1015 1016.
Trích dẫn Đề thi thử TN THPT 2026 lần 1 môn Toán trường THPT CG-TT-CG2 – Hải Phòng:
+ Một cơ sở sản xuất hai loại sản phẩm loại I và loại II. Để sản xuất 1 tấn sản phẩm loại I cần 1 tấn nguyên liệu A và 0.5 tấn nguyên liệu B. Để sản xuất 1 tấn sản phẩm loại II cần 0.5 tấn nguyên liệu A và 0.75 tấn nguyên liệu B. Mỗi tấn sản phẩm loại I thu về số tiền lãi 6 triệu đồng, mỗi tấn sản phẩm loại II thu về số tiền lãi 7 triệu đồng. Hiện tại cơ sở mới chỉ nhập được 40 tấn nguyên liệu A và 30 tấn nguyên liệu B. Với các điều kiện như trên, cơ sở đó có thể thu về số tiền lãi lớn nhất là bao nhiêu triệu đồng?
+ Trong hộp chứa 100 cái thẻ được đánh số thứ tự liên tiếp từ 1 đến 100. Hai thẻ khác nhau thì đánh số thứ tự khác nhau. Chọn ngẫu nhiên 3 thẻ trong hộp. Xác suất để để chọn được 3 thẻ có số thứ tự lập thành cấp số cộng, đồng thời có tổng không vượt quá 125 bằng a/b (trong đó a/b là phân số tối giản). Tính b – a.
+ Cường độ một trận động đất M độ richter được cho bởi công thức M = logA/A0, với A là biên độ rung chấn tối đa và A0 là biên độ chuẩn (hằng số). Đầu thế kỉ XX, một trận động đất ở San Francisco có cường độ 8,2 độ richter. Trong cùng năm đó, trận động đất khác ở Nam Mỹ có biên độ rung chấn tối đa mạnh gấp 5 lần biên độ rung chấn tối đa của trận động đất ở San Francisco. Cường độ của trận động đất ở Nam Mỹ là bao nhiêu độ richter? (kết quả làm tròn đến hàng phần chục).
File WORD (dành cho quý thầy, cô): TẢI XUỐNG
Xem thêm đáp án: đề thi thử tn thpt 2026 lần 1 môn toán trường thpt cg-tt-cg2 – hải phòng










Giải Toán đề thi thử tn thpt 2026 lần 1 môn toán trường thpt cg-tt-cg2 – hải phòng với Đáp Án Mới Nhất
Toán học luôn là một môn học quan trọng, giúp học sinh phát triển tư duy logic và kỹ năng giải quyết vấn đề. Để hỗ trợ các bạn học sinh và giáo viên trong việc học tập và giảng dạy, bài viết này sẽ cung cấp lời giải chi tiết và đáp án chính xác cho chủ đề đề thi thử tn thpt 2026 lần 1 môn toán trường thpt cg-tt-cg2 – hải phòng, giúp bạn hiểu sâu và tự tin hơn khi làm bài tập.
đề thi thử tn thpt 2026 lần 1 môn toán trường thpt cg-tt-cg2 – hải phòng là một trong những phần kiến thức quan trọng trong chương trình toán học, thường xuất hiện trong các bài kiểm tra và kỳ thi lớn. Việc nắm vững phần này không chỉ giúp bạn đạt điểm cao mà còn tạo nền tảng vững chắc để học các nội dung nâng cao hơn.
Chúng tôi cung cấp hướng dẫn từng bước giải bài tập, bao gồm:
Mỗi bài giải đều kèm theo lời giải thích chi tiết, giúp bạn hiểu không chỉ cách làm mà còn cả lý do tại sao nên áp dụng phương pháp đó.
Tất cả các bài tập đều đi kèm đáp án mới nhất, được kiểm tra kỹ lưỡng để đảm bảo độ chính xác cao. Điều này giúp bạn tự kiểm tra kết quả và khắc phục lỗi sai một cách nhanh chóng.
Ngoài ra, bài viết còn cung cấp các tài liệu bổ trợ như:
Chủ đề đề thi thử tn thpt 2026 lần 1 môn toán trường thpt cg-tt-cg2 – hải phòng là một phần kiến thức thú vị và hữu ích trong toán học. Hãy sử dụng bài viết này như một công cụ hỗ trợ để bạn chinh phục mọi thử thách trong môn Toán. Đừng quên ôn tập thường xuyên và luyện tập nhiều dạng bài tập khác nhau để thành thạo hơn!
Chúc các bạn học tốt và đạt kết quả cao! 😊
>> Xem thêm đáp án chi tiết về: đề thi thử tn thpt 2026 lần 1 môn toán trường thpt cg-tt-cg2 – hải phòng.