giaitoan.edu.vn giới thiệu đến quý thầy, cô giáo và các em học sinh đề thi thử tốt nghiệp THPT năm học 2025 – 2026 môn Toán lần 2 trường THPT Phụ Dực, tỉnh Hưng Yên. Đề thi có đáp án mã đề 1101 1103 1105 1107 1102 1104 1106 1108.
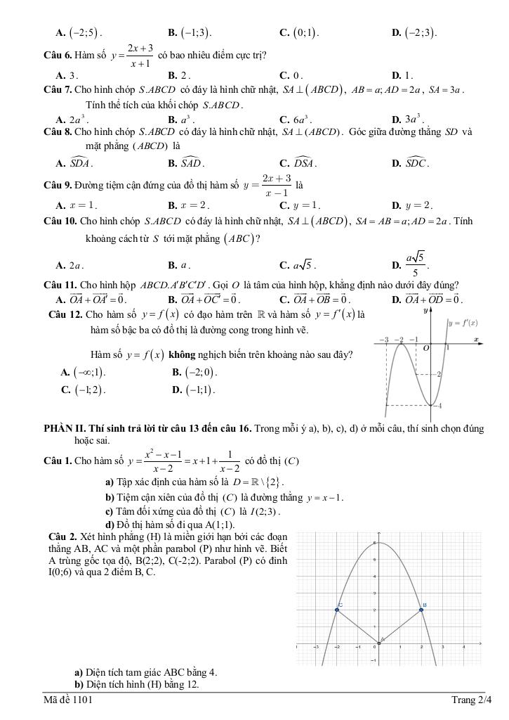
Trích dẫn Đề thi thử TN THPT 2026 môn Toán lần 2 trường THPT Phụ Dực – Hưng Yên:
+ Thầy Nguyễn Công Toàn là một giáo viên dạy hóa rất giỏi ở trường THPT Phụ Dực. Thầy đặc biệt giỏi công nghệ và say mê chuyên môn. Thầy có ngân hàng đề gồm 20 câu rất hay và độc lạ. Trong một buổi giao bài tập về nhà cho đội tuyển học sinh giỏi gồm 5 bạn, thầy để AI lựa chọn ngẫu nhiên một số câu hỏi từ ngân hàng đề trên cho từng bạn. Gọi A là biến cố xảy ra đồng thời các điều kiện sau: – Số câu hỏi chung của cả 5 bạn là 2. – Số câu hỏi chung của nhóm gồm 4 bạn bất kì trong đội là 3. – Số câu hỏi chung của nhóm gồm 3 bạn bất kì trong đội là 4. Giả sử xác suất xảy ra biến cố A là p. Tính 10^10p (làm tròn kết quả đến hàng đơn vị).
+ Trên một hòn đảo (kí hiệu là điểm A) có một người bị tai nạn nặng không thể di chuyển người bệnh và cần cấp cứu gấp. Do điều kiện trên đảo thiếu thuốc, máu và thiết bị y tế để cấp cứu cho bệnh nhân nên bác sĩ đã cử tàu ca nô đi về đất liền ở vị trí M. Cùng lúc tàu khởi hành, bệnh viện ở vị trí C đã cử xe cứu thương đưa thuốc, máu và vật tư y tế đến vị trí M. Biết rằng BC = 60 km, AB = 20 km, tàu đi với vận tốc 60 km/h và xe cứu thương đi với vận tốc 80 km/h. Tính thời gian sớm nhất để người bệnh có thể được cấp cứu. (làm tròn kết quả đến hàng phần trăm).
+ Hình bên là hình ảnh một viên gạch men có dạng một hình vuông có độ dài cạnh 8 dm. Hai hình Elip đều có độ dài trục lớn 8 dm và độ dài trục bé 4 dm (các trục song song các cạnh tương ứng của hình vuông và có tâm đối xứng là tâm hình vuông). Đường tròn tiếp xúc với tất cả các cạnh hình vuông. Ở công đoạn tráng men (chi phí nguyên liệu, thi công, kĩ thuật) với mỗi m2: phần tô đen có chi phí 20 nghìn đồng, phần chấm bi (là 1 trong 2 elip như hình vẽ) có chi phí 15 nghìn đồng và phần còn lại có chi phí 10 nghìn đồng. Hãy tính chi phí a triệu đồng của công đoạn tráng men khi doanh nghiệp sản xuất 100000 viên gạch như thế (làm tròn kết quả đến hàng đơn vị).
File WORD (dành cho quý thầy, cô): TẢI XUỐNG
Xem thêm đáp án: đề thi thử tn thpt 2026 môn toán lần 2 trường thpt phụ dực – hưng yên










Giải Toán đề thi thử tn thpt 2026 môn toán lần 2 trường thpt phụ dực – hưng yên với Đáp Án Mới Nhất
Toán học luôn là một môn học quan trọng, giúp học sinh phát triển tư duy logic và kỹ năng giải quyết vấn đề. Để hỗ trợ các bạn học sinh và giáo viên trong việc học tập và giảng dạy, bài viết này sẽ cung cấp lời giải chi tiết và đáp án chính xác cho chủ đề đề thi thử tn thpt 2026 môn toán lần 2 trường thpt phụ dực – hưng yên, giúp bạn hiểu sâu và tự tin hơn khi làm bài tập.
đề thi thử tn thpt 2026 môn toán lần 2 trường thpt phụ dực – hưng yên là một trong những phần kiến thức quan trọng trong chương trình toán học, thường xuất hiện trong các bài kiểm tra và kỳ thi lớn. Việc nắm vững phần này không chỉ giúp bạn đạt điểm cao mà còn tạo nền tảng vững chắc để học các nội dung nâng cao hơn.
Chúng tôi cung cấp hướng dẫn từng bước giải bài tập, bao gồm:
Mỗi bài giải đều kèm theo lời giải thích chi tiết, giúp bạn hiểu không chỉ cách làm mà còn cả lý do tại sao nên áp dụng phương pháp đó.
Tất cả các bài tập đều đi kèm đáp án mới nhất, được kiểm tra kỹ lưỡng để đảm bảo độ chính xác cao. Điều này giúp bạn tự kiểm tra kết quả và khắc phục lỗi sai một cách nhanh chóng.
Ngoài ra, bài viết còn cung cấp các tài liệu bổ trợ như:
Chủ đề đề thi thử tn thpt 2026 môn toán lần 2 trường thpt phụ dực – hưng yên là một phần kiến thức thú vị và hữu ích trong toán học. Hãy sử dụng bài viết này như một công cụ hỗ trợ để bạn chinh phục mọi thử thách trong môn Toán. Đừng quên ôn tập thường xuyên và luyện tập nhiều dạng bài tập khác nhau để thành thạo hơn!
Chúc các bạn học tốt và đạt kết quả cao! 😊
>> Xem thêm đáp án chi tiết về: đề thi thử tn thpt 2026 môn toán lần 2 trường thpt phụ dực – hưng yên.