giaitoan.edu.vn giới thiệu đến quý thầy, cô giáo và các em học sinh đề cương hướng dẫn nội dung ôn tập cuối học kì 2 môn Toán 11 năm học 2025 – 2026 trường THPT Trần Phú – Hoàn Kiếm, thành phố Hà Nội.
PHẦN I. NỘI DUNG ÔN TẬP.
1. Nội dung ôn tập giữa HKII.
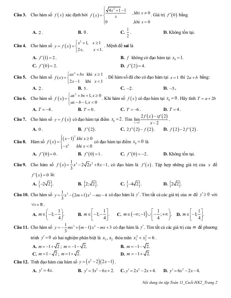
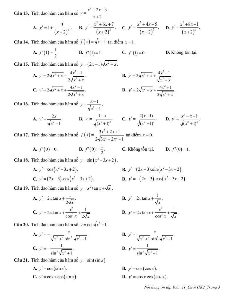
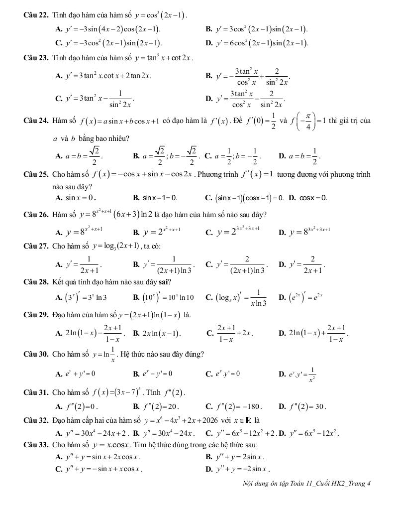
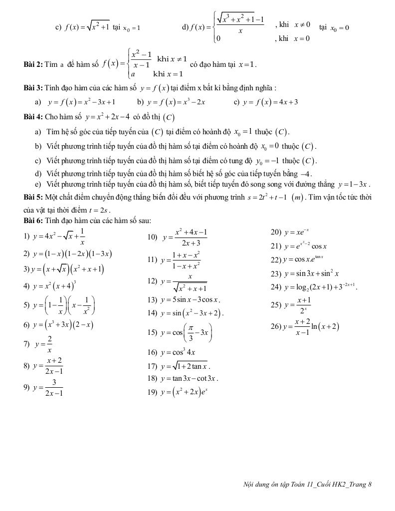
2. Đạo hàm.
3. Quan hệ vuông góc trong không gian. Phép chiếu vuông góc.
PHẦN II. HÌNH THỨC, CẤU TRÚC ĐỀ KIỂM TRA: Đề bao gồm 4 phần:
+ Phần I. Câu hỏi trắc nghiệm nhiều phương án lựa chọn (mỗi câu có 4 đáp án A, B, C, D và chỉ có 1 đáp án đúng). Phần này có 12 câu (từ câu 1 đến câu 12), mỗi câu trả lời đúng được 0,25 điểm.
+ Phần II. Câu hỏi trắc nghiệm lựa chọn đúng/sai (mỗi câu có 4 ý hỏi a), b), c), d) và trong các ý đó hoặc đúng, hoặc sai). Phần này có 2 câu (từ câu 1 đến câu 2), mỗi câu trả lời đúng cả 4 ý được 1,0 điểm.
+ Phần III. Câu hỏi trắc nghiệm trả lời ngắn. Phần này có 4 câu (từ câu 1 đến câu 4), mỗi câu trả lời đúng được 0,5 điểm.
+ Phần IV. Câu hỏi tự luận. Phần này sẽ có 6 ý hỏi (hay 6 câu hỏi). Mỗi ý hỏi (hay mỗi câu hỏi) làm đúng sẽ được 0,5 điểm.
Lưu ý:
+ Phần I, Phần II và Phần III học sinh sẽ trả lời vào phiếu trả lời trắc nghiệm do nhà trường phát.
+ Phần IV học sinh sẽ trình bày lời giải vào giấy kiểm tra do nhà trường phát.
PHẦN III. THỜI GIAN LÀM BÀI: 90 phút.
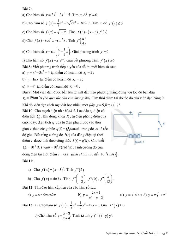
PHẦN IV. CÁC BÀI TẬP LUYỆN TẬP.










Giải Toán ôn tập cuối học kì 2 toán 11 năm 2025 – 2026 trường thpt trần phú – hà nội với Đáp Án Mới Nhất
Toán học luôn là một môn học quan trọng, giúp học sinh phát triển tư duy logic và kỹ năng giải quyết vấn đề. Để hỗ trợ các bạn học sinh và giáo viên trong việc học tập và giảng dạy, bài viết này sẽ cung cấp lời giải chi tiết và đáp án chính xác cho chủ đề ôn tập cuối học kì 2 toán 11 năm 2025 – 2026 trường thpt trần phú – hà nội, giúp bạn hiểu sâu và tự tin hơn khi làm bài tập.
ôn tập cuối học kì 2 toán 11 năm 2025 – 2026 trường thpt trần phú – hà nội là một trong những phần kiến thức quan trọng trong chương trình toán học, thường xuất hiện trong các bài kiểm tra và kỳ thi lớn. Việc nắm vững phần này không chỉ giúp bạn đạt điểm cao mà còn tạo nền tảng vững chắc để học các nội dung nâng cao hơn.
Chúng tôi cung cấp hướng dẫn từng bước giải bài tập, bao gồm:
Mỗi bài giải đều kèm theo lời giải thích chi tiết, giúp bạn hiểu không chỉ cách làm mà còn cả lý do tại sao nên áp dụng phương pháp đó.
Tất cả các bài tập đều đi kèm đáp án mới nhất, được kiểm tra kỹ lưỡng để đảm bảo độ chính xác cao. Điều này giúp bạn tự kiểm tra kết quả và khắc phục lỗi sai một cách nhanh chóng.
Ngoài ra, bài viết còn cung cấp các tài liệu bổ trợ như:
Chủ đề ôn tập cuối học kì 2 toán 11 năm 2025 – 2026 trường thpt trần phú – hà nội là một phần kiến thức thú vị và hữu ích trong toán học. Hãy sử dụng bài viết này như một công cụ hỗ trợ để bạn chinh phục mọi thử thách trong môn Toán. Đừng quên ôn tập thường xuyên và luyện tập nhiều dạng bài tập khác nhau để thành thạo hơn!
Chúc các bạn học tốt và đạt kết quả cao! 😊
>> Xem thêm đáp án chi tiết về: ôn tập cuối học kì 2 toán 11 năm 2025 – 2026 trường thpt trần phú – hà nội.