Tài liệu gồm 206 trang, bao gồm lý thuyết và các dạng bài tập cơ bản chuyên đề môn Toán 8 Kết Nối Tri Thức Với Cuộc Sống (tập 2).
Chương VI. PHÂN THỨC ĐẠI SỐ.
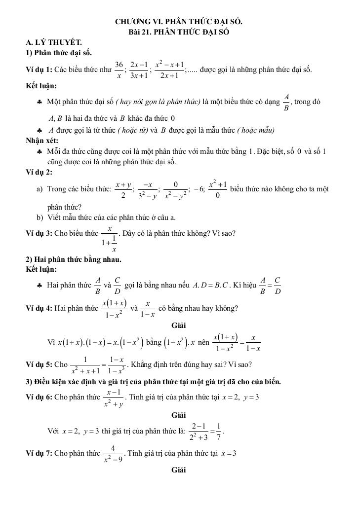
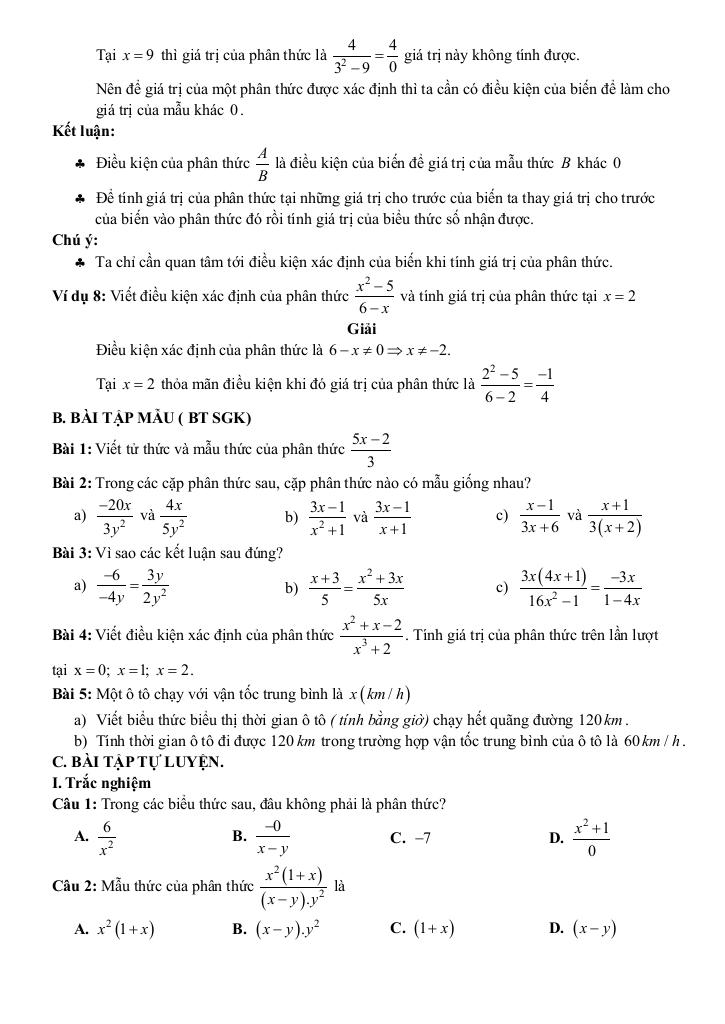
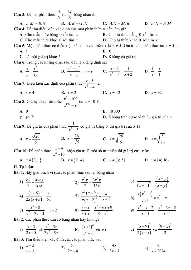
Bài 21. Phân thức đại số.
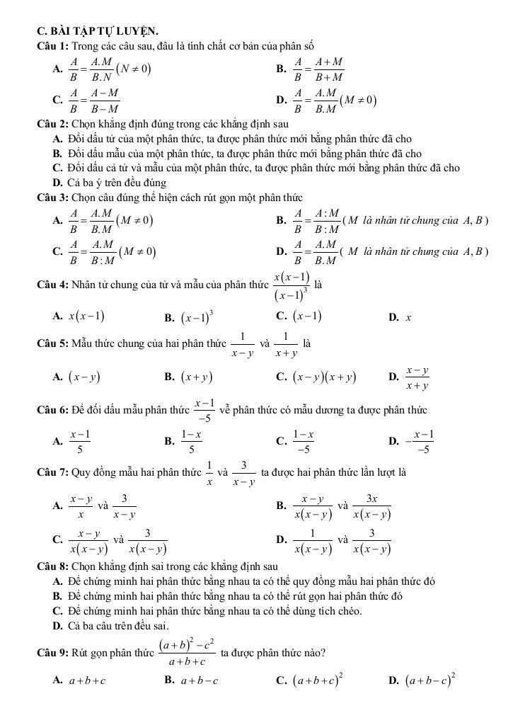
Bài 22. Tính chất cơ bản của phân thức đại số.
Bài 23. Phép cộng và phép trừ phân thức đại số.
Bài 24. Phép nhân và phép chia phân thức đại số.
Chương VII. PHƯƠNG TRÌNH BẬC NHẤT VÀ HÀM SỐ BẬC NHẤT.
Bài 25. Phương trình bậc nhất một ẩn.
Bài 26. Giải bài toán bằng cách lập phương trình.
Bài 27. Khái niệm hàm số và đồ thị của hàm số.
Bài 28. Hàm số bậc nhất và đồ thị của hàm số bậc nhất.
Bài 29. Hệ số góc của đường thẳng.
Chương VIII. MỞ ĐẦU VỀ TÍNH XÁC SUẤT CỦA BIẾN CỐ.
Bài 30. Kết quả có thể và kết quả thuận lợi.
Bài 31. Cách tính xác suất của biến cố bằng tỉ số.
Bài 32. Mối liên hệ giữa xác suất thực nghiệm với xác suất và ứng dụng.
Chương IX. TAM GIÁC ĐỒNG DẠNG.
Bài 33. Hai tam giác đồng dạng.
Bài 34. Ba trường hợp đồng dạng của hai tam giác.
Bài 35. Định lí Pythagore và ứng dụng.
Bài 36. Các trường hợp đồng dạng của hai tam giác vuông.
Bài 37. Hình đồng dạng.
Chương X. MỘT SỐ HÌNH KHỐI TRONG THỰC TIỄN.
Bài 38. Hình chóp tam giác đều.
Bài 39. Hình chóp tứ giác đều.
File WORD (dành cho quý thầy, cô): TẢI XUỐNG










Giải Toán chuyên đề cơ bản môn toán 8 kết nối tri thức với cuộc sống (tập 2) với Đáp Án Mới Nhất
Toán học luôn là một môn học quan trọng, giúp học sinh phát triển tư duy logic và kỹ năng giải quyết vấn đề. Để hỗ trợ các bạn học sinh và giáo viên trong việc học tập và giảng dạy, bài viết này sẽ cung cấp lời giải chi tiết và đáp án chính xác cho chủ đề chuyên đề cơ bản môn toán 8 kết nối tri thức với cuộc sống (tập 2), giúp bạn hiểu sâu và tự tin hơn khi làm bài tập.
chuyên đề cơ bản môn toán 8 kết nối tri thức với cuộc sống (tập 2) là một trong những phần kiến thức quan trọng trong chương trình toán học, thường xuất hiện trong các bài kiểm tra và kỳ thi lớn. Việc nắm vững phần này không chỉ giúp bạn đạt điểm cao mà còn tạo nền tảng vững chắc để học các nội dung nâng cao hơn.
Chúng tôi cung cấp hướng dẫn từng bước giải bài tập, bao gồm:
Mỗi bài giải đều kèm theo lời giải thích chi tiết, giúp bạn hiểu không chỉ cách làm mà còn cả lý do tại sao nên áp dụng phương pháp đó.
Tất cả các bài tập đều đi kèm đáp án mới nhất, được kiểm tra kỹ lưỡng để đảm bảo độ chính xác cao. Điều này giúp bạn tự kiểm tra kết quả và khắc phục lỗi sai một cách nhanh chóng.
Ngoài ra, bài viết còn cung cấp các tài liệu bổ trợ như:
Chủ đề chuyên đề cơ bản môn toán 8 kết nối tri thức với cuộc sống (tập 2) là một phần kiến thức thú vị và hữu ích trong toán học. Hãy sử dụng bài viết này như một công cụ hỗ trợ để bạn chinh phục mọi thử thách trong môn Toán. Đừng quên ôn tập thường xuyên và luyện tập nhiều dạng bài tập khác nhau để thành thạo hơn!
Chúc các bạn học tốt và đạt kết quả cao! 😊
>> Xem thêm đáp án chi tiết về: chuyên đề cơ bản môn toán 8 kết nối tri thức với cuộc sống (tập 2).