giaitoan.edu.vn giới thiệu đến quý thầy, cô giáo và các em học sinh đề thi chọn học sinh giỏi môn Toán 12 THPT năm học 2025 – 2026 trường THPT Bắc Kiến Xương, tỉnh Hưng Yên.
Trích dẫn Đề chọn học sinh giỏi Toán 12 năm 2025 – 2026 trường THPT Bắc Kiến Xương – Hưng Yên:
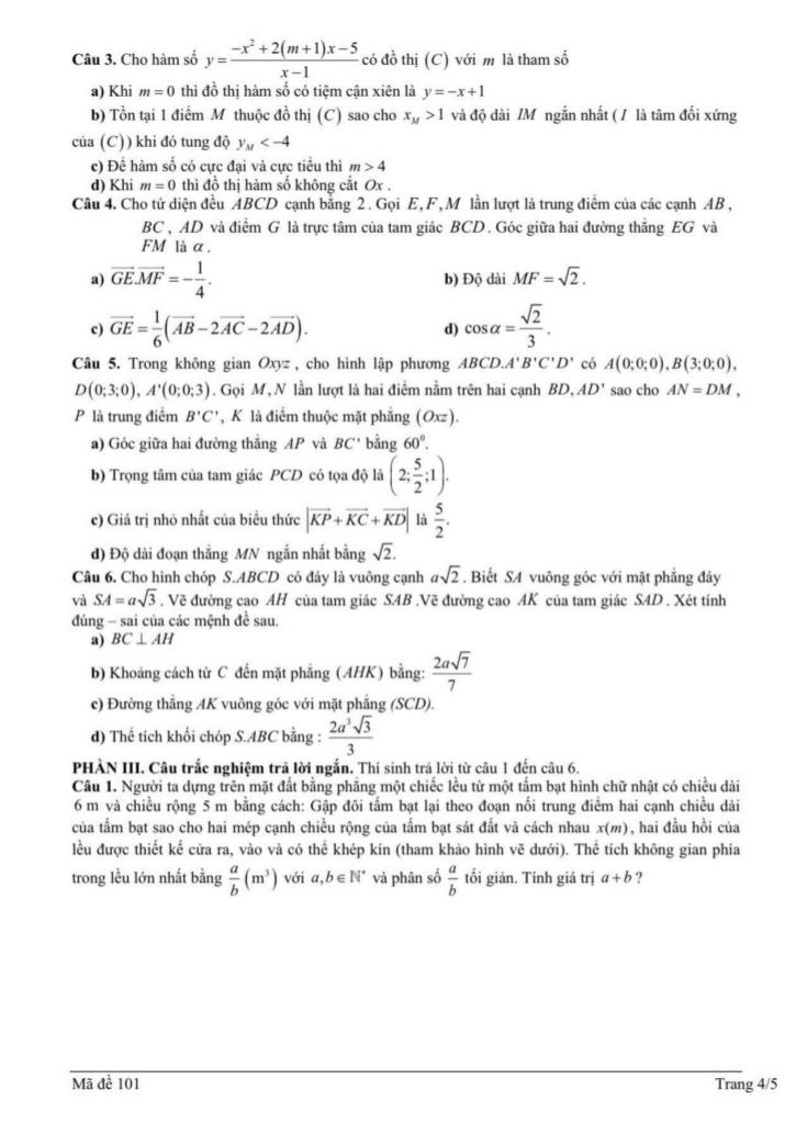
+ Người ta dựng trên mặt đất bằng phẳng một chiếc lều từ một tấm bạt hình chữ nhật có chiều dài 6 m và chiều rộng 5 m bằng cách: Gập đôi tấm bạt lại theo đoạn nối trung điểm hai cạnh chiều dài của tấm bạt sao cho hai mép cạnh chiều rộng của tấm bạt sát đất và cách nhau x(m), hai đầu hồi của lều được thiết kế cửa ra, vào và có thể khép kín (tham khảo hình vẽ dưới). Thể tích không gian phía trong lều lớn nhất bằng a/b (m3) với a, b thuộc N* và phân số a/b tối giản. Tính giá trị a + b?
+ Cho tứ diện ABCD. Trên mỗi cạnh của tứ diện, ta đánh dấu 4 điểm chia đều cạnh đó thành các phần bằng nhau. Hỏi có thể lập được bao nhiêu tam giác mà ba đỉnh lấy từ 24 điểm đánh dấu sao cho mặt phẳng chứa tam giác đó song song với đúng một cạnh của tứ diện đã cho.
+ Một xe ôtô chở khách du lịch có sức chứa tối đa 29 hành khách. Trong khu du lịch Đền Hùng, một đoàn khách gồm 40 người đang đi bộ và muốn thuê xe về khách sạn. Người lái xe đưa ra thỏa thuận với đoàn khách du lịch như sau: Nếu một chuyến xe chở x (người) thì giá tiền cho mỗi người là (100 – x)2/40 (nghìn đồng) và một chuyến không chở dưới 15 người. Hỏi với thỏa thuận như trên thì cần trả ít nhất bao nhiêu nghìn đồng để cả đoàn được đưa về khách sạn bằng xe du lịch?





Giải Toán đề chọn học sinh giỏi toán 12 năm 2025 – 2026 trường thpt bắc kiến xương – hưng yên với Đáp Án Mới Nhất
Toán học luôn là một môn học quan trọng, giúp học sinh phát triển tư duy logic và kỹ năng giải quyết vấn đề. Để hỗ trợ các bạn học sinh và giáo viên trong việc học tập và giảng dạy, bài viết này sẽ cung cấp lời giải chi tiết và đáp án chính xác cho chủ đề đề chọn học sinh giỏi toán 12 năm 2025 – 2026 trường thpt bắc kiến xương – hưng yên, giúp bạn hiểu sâu và tự tin hơn khi làm bài tập.
đề chọn học sinh giỏi toán 12 năm 2025 – 2026 trường thpt bắc kiến xương – hưng yên là một trong những phần kiến thức quan trọng trong chương trình toán học, thường xuất hiện trong các bài kiểm tra và kỳ thi lớn. Việc nắm vững phần này không chỉ giúp bạn đạt điểm cao mà còn tạo nền tảng vững chắc để học các nội dung nâng cao hơn.
Chúng tôi cung cấp hướng dẫn từng bước giải bài tập, bao gồm:
Mỗi bài giải đều kèm theo lời giải thích chi tiết, giúp bạn hiểu không chỉ cách làm mà còn cả lý do tại sao nên áp dụng phương pháp đó.
Tất cả các bài tập đều đi kèm đáp án mới nhất, được kiểm tra kỹ lưỡng để đảm bảo độ chính xác cao. Điều này giúp bạn tự kiểm tra kết quả và khắc phục lỗi sai một cách nhanh chóng.
Ngoài ra, bài viết còn cung cấp các tài liệu bổ trợ như:
Chủ đề đề chọn học sinh giỏi toán 12 năm 2025 – 2026 trường thpt bắc kiến xương – hưng yên là một phần kiến thức thú vị và hữu ích trong toán học. Hãy sử dụng bài viết này như một công cụ hỗ trợ để bạn chinh phục mọi thử thách trong môn Toán. Đừng quên ôn tập thường xuyên và luyện tập nhiều dạng bài tập khác nhau để thành thạo hơn!
Chúc các bạn học tốt và đạt kết quả cao! 😊
>> Xem thêm đáp án chi tiết về: đề chọn học sinh giỏi toán 12 năm 2025 – 2026 trường thpt bắc kiến xương – hưng yên.