giaitoan.edu.vn giới thiệu đến quý thầy, cô giáo và các em học sinh đề thi chọn học sinh giỏi môn Toán 9 năm học 2025 – 2026 phường Yên Hòa, thành phố Hà Nội. Đề thi có đáp án và lời giải chi tiết.
Trích dẫn Đề chọn học sinh giỏi Toán 9 năm 2025 – 2026 phường Yên Hòa – Hà Nội:
+ Để gây quỹ từ thiện trong chương trình Trung Thu của trường, lớp 6A1 của trường đã tổ chức hoạt động bán hàng với hai mặt hàng là nước ép táo và ngô chiên. Tập thể lớp thiết kế hai thực đơn. Thực đơn 1 có giá 35 nghìn đồng, bao gồm hai cốc nước ép táo và một túi ngô chiên. Thực đơn 2 có giá 60 nghìn đồng, bao gồm ba cốc nước ép táo và hai túi ngô chiên. Biết rằng lớp chỉ làm được không quá 260 cốc nước ép táo và 160 túi ngô chiên. Số tiền lớn nhất mà lớp 6A1 có thể nhận được sau khi bán hết hàng là bao nhiêu nghìn đồng?
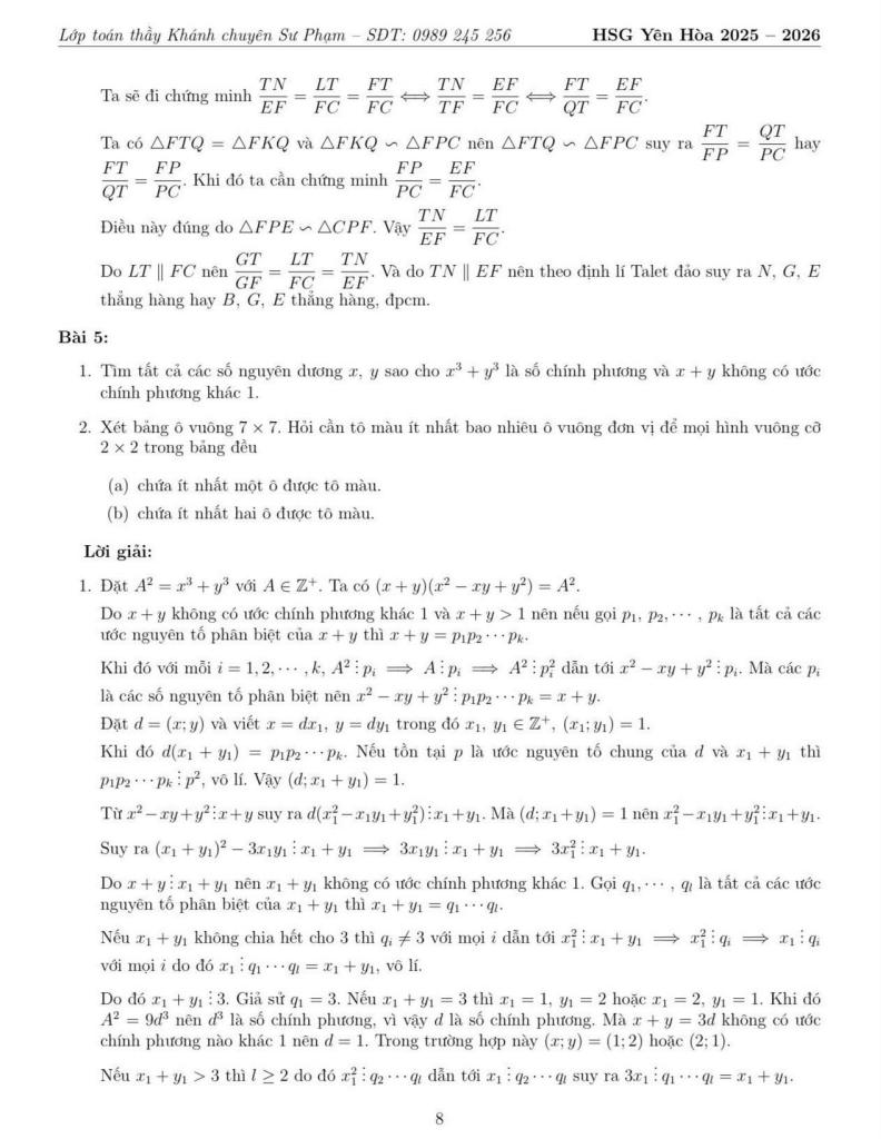
+ Tìm tất cả các số nguyên dương x, y sao cho x3 + y3 là số chính phương và x + y không có ước chính phương khác 1.
+ Xét bảng ô vuông 7 x 7. Hỏi cần tô màu ít nhất bao nhiêu ô vuông đơn vị của bảng sao cho mọi hình vuông cỡ 2 x 2 trong bảng đều: a) Chứa ít nhất một ô được tô màu. b) Chứa ít nhất hai ô được tô màu.









Giải Toán đề chọn học sinh giỏi toán 9 năm 2025 – 2026 phường yên hòa – hà nội với Đáp Án Mới Nhất
Toán học luôn là một môn học quan trọng, giúp học sinh phát triển tư duy logic và kỹ năng giải quyết vấn đề. Để hỗ trợ các bạn học sinh và giáo viên trong việc học tập và giảng dạy, bài viết này sẽ cung cấp lời giải chi tiết và đáp án chính xác cho chủ đề đề chọn học sinh giỏi toán 9 năm 2025 – 2026 phường yên hòa – hà nội, giúp bạn hiểu sâu và tự tin hơn khi làm bài tập.
đề chọn học sinh giỏi toán 9 năm 2025 – 2026 phường yên hòa – hà nội là một trong những phần kiến thức quan trọng trong chương trình toán học, thường xuất hiện trong các bài kiểm tra và kỳ thi lớn. Việc nắm vững phần này không chỉ giúp bạn đạt điểm cao mà còn tạo nền tảng vững chắc để học các nội dung nâng cao hơn.
Chúng tôi cung cấp hướng dẫn từng bước giải bài tập, bao gồm:
Mỗi bài giải đều kèm theo lời giải thích chi tiết, giúp bạn hiểu không chỉ cách làm mà còn cả lý do tại sao nên áp dụng phương pháp đó.
Tất cả các bài tập đều đi kèm đáp án mới nhất, được kiểm tra kỹ lưỡng để đảm bảo độ chính xác cao. Điều này giúp bạn tự kiểm tra kết quả và khắc phục lỗi sai một cách nhanh chóng.
Ngoài ra, bài viết còn cung cấp các tài liệu bổ trợ như:
Chủ đề đề chọn học sinh giỏi toán 9 năm 2025 – 2026 phường yên hòa – hà nội là một phần kiến thức thú vị và hữu ích trong toán học. Hãy sử dụng bài viết này như một công cụ hỗ trợ để bạn chinh phục mọi thử thách trong môn Toán. Đừng quên ôn tập thường xuyên và luyện tập nhiều dạng bài tập khác nhau để thành thạo hơn!
Chúc các bạn học tốt và đạt kết quả cao! 😊
>> Xem thêm đáp án chi tiết về: đề chọn học sinh giỏi toán 9 năm 2025 – 2026 phường yên hòa – hà nội.