giaitoan.edu.vn giới thiệu đến quý thầy, cô giáo và các em học sinh đề chính thức kỳ thi chọn học sinh giỏi môn Toán 9 năm học 2025 – 2026 sở Giáo dục và Đào tạo tỉnh Quảng Trị. Kỳ thi được diễn ra vào ngày 09 tháng 03 năm 2026. Đề thi có đáp án và lời giải chi tiết.
Trích dẫn Đề chọn học sinh giỏi Toán 9 năm 2025 – 2026 sở GD&ĐT Quảng Trị:
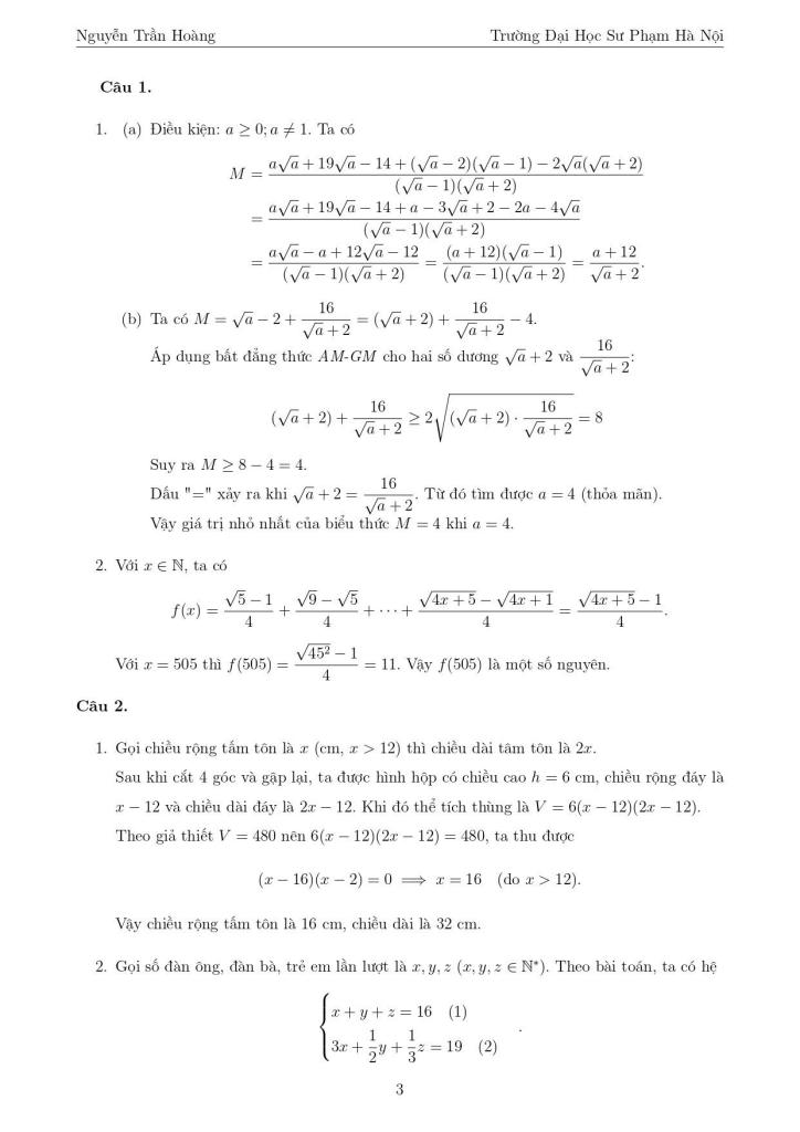
+ Từ một tấm tôn hình chữ nhật có chiều dài gấp đôi chiều rộng, người ta cắt bỏ bốn hình vuông có độ dài cạnh 6 cm ở bốn góc, sau đó gập thành một chiếc thùng có dạng hình hộp chữ nhật không có nắp và có thể tích bằng 480 cm³. Tính độ dài các cạnh của tấm tôn hình chữ nhật ban đầu.
+ Một nhóm có 16 người (bao gồm đàn ông, đàn bà và trẻ em) đi nghỉ mát ở bãi biển Nhật Lệ. Họ chia nhau mang theo 19kg vật dụng và lương thực. Mỗi người đàn ông mang theo 3kg, mỗi nhóm hai người đàn bà mang theo 1kg, mỗi nhóm ba trẻ em mang theo 1kg. Tính số người đàn ông, số người đàn bà và số trẻ em trong nhóm đó.
+ Một con kiến di chuyển một cách ngẫu nhiên theo các đường kẻ từ A đến C (như hình vẽ). Khi tới các ngã rẽ, con kiến luôn di chuyển sang phải hoặc di chuyển lên trên. Tính xác suất để trên đường đi từ A đến C, con kiến phải di chuyển qua điểm B.






Giải Toán đề chọn học sinh giỏi toán 9 năm 2025 – 2026 sở gd&đt quảng trị với Đáp Án Mới Nhất
Toán học luôn là một môn học quan trọng, giúp học sinh phát triển tư duy logic và kỹ năng giải quyết vấn đề. Để hỗ trợ các bạn học sinh và giáo viên trong việc học tập và giảng dạy, bài viết này sẽ cung cấp lời giải chi tiết và đáp án chính xác cho chủ đề đề chọn học sinh giỏi toán 9 năm 2025 – 2026 sở gd&đt quảng trị, giúp bạn hiểu sâu và tự tin hơn khi làm bài tập.
đề chọn học sinh giỏi toán 9 năm 2025 – 2026 sở gd&đt quảng trị là một trong những phần kiến thức quan trọng trong chương trình toán học, thường xuất hiện trong các bài kiểm tra và kỳ thi lớn. Việc nắm vững phần này không chỉ giúp bạn đạt điểm cao mà còn tạo nền tảng vững chắc để học các nội dung nâng cao hơn.
Chúng tôi cung cấp hướng dẫn từng bước giải bài tập, bao gồm:
Mỗi bài giải đều kèm theo lời giải thích chi tiết, giúp bạn hiểu không chỉ cách làm mà còn cả lý do tại sao nên áp dụng phương pháp đó.
Tất cả các bài tập đều đi kèm đáp án mới nhất, được kiểm tra kỹ lưỡng để đảm bảo độ chính xác cao. Điều này giúp bạn tự kiểm tra kết quả và khắc phục lỗi sai một cách nhanh chóng.
Ngoài ra, bài viết còn cung cấp các tài liệu bổ trợ như:
Chủ đề đề chọn học sinh giỏi toán 9 năm 2025 – 2026 sở gd&đt quảng trị là một phần kiến thức thú vị và hữu ích trong toán học. Hãy sử dụng bài viết này như một công cụ hỗ trợ để bạn chinh phục mọi thử thách trong môn Toán. Đừng quên ôn tập thường xuyên và luyện tập nhiều dạng bài tập khác nhau để thành thạo hơn!
Chúc các bạn học tốt và đạt kết quả cao! 😊
>> Xem thêm đáp án chi tiết về: đề chọn học sinh giỏi toán 9 năm 2025 – 2026 sở gd&đt quảng trị.