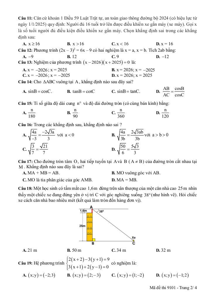
giaitoan.edu.vn giới thiệu đến quý thầy, cô giáo và các em học sinh đề khảo sát chất lượng cuối học kỳ 1 môn Toán 9 năm học 2025 – 2026 sở Giáo dục và Đào tạo tỉnh Hưng Yên. Đề thi gồm 26 câu trắc nghiệm nhiều phương án lựa chọn + 02 câu trắc nghiệm đúng sai + 06 câu trắc nghiệm trả lời ngắn, thời gian làm bài 90 phút, có đáp án mã đề 9101 – 9102 – 9103 – 9104.
Trích dẫn Đề cuối học kỳ 1 Toán 9 năm 2025 – 2026 sở GD&ĐT Hưng Yên:
+ Lớp 9A phát động quyên góp tiền ủng hộ đồng bào miền Trung chịu ảnh hưởng bởi bão lũ và thiên tai với mức tối thiểu 20 nghìn đồng và tối đa 50 nghìn đồng một học sinh. Sau khi quyên góp được tổng số tiền là 1,7 triệu đồng. Biết rằng lớp 9A có 40 học sinh và tất cả học sinh của lớp ủng hộ ở hai mức tối thiểu và tối đa. Vậy số học sinh ủng hộ ở mức tối đa là bao nhiêu học sinh?
+ Một khu vườn hình chữ nhật có chu vi bằng 48m. Nếu tăng chiều rộng lên bốn lần và tăng chiều dài lên ba lần thì chu vi của khu vườn sẽ là 162m. Gọi chiều dài và chiều rộng của khu vườn hình chữ nhật lần lượt là x (m) và y (m) (0 < y < x < 24). Biểu thức thể hiện chu vi của khu vườn sau khi thay đổi là?
+ Bác An có số tiền là 1 tỉ đồng, bác gửi vào hai ngân hàng A và B, biết lãi suất của ngân hàng A là 6,5% một năm, lãi suất ngân hàng B là 7% một năm. Sau một năm bác An thu được cả tiền gốc và lãi là 1,067 tỉ đồng. Hỏi bác An gửi vào ngân hàng A bao nhiêu triệu đồng?
File WORD (dành cho quý thầy, cô): TẢI XUỐNG






Giải Toán đề cuối học kỳ 1 toán 9 năm 2025 – 2026 sở gd&đt hưng yên với Đáp Án Mới Nhất
Toán học luôn là một môn học quan trọng, giúp học sinh phát triển tư duy logic và kỹ năng giải quyết vấn đề. Để hỗ trợ các bạn học sinh và giáo viên trong việc học tập và giảng dạy, bài viết này sẽ cung cấp lời giải chi tiết và đáp án chính xác cho chủ đề đề cuối học kỳ 1 toán 9 năm 2025 – 2026 sở gd&đt hưng yên, giúp bạn hiểu sâu và tự tin hơn khi làm bài tập.
đề cuối học kỳ 1 toán 9 năm 2025 – 2026 sở gd&đt hưng yên là một trong những phần kiến thức quan trọng trong chương trình toán học, thường xuất hiện trong các bài kiểm tra và kỳ thi lớn. Việc nắm vững phần này không chỉ giúp bạn đạt điểm cao mà còn tạo nền tảng vững chắc để học các nội dung nâng cao hơn.
Chúng tôi cung cấp hướng dẫn từng bước giải bài tập, bao gồm:
Mỗi bài giải đều kèm theo lời giải thích chi tiết, giúp bạn hiểu không chỉ cách làm mà còn cả lý do tại sao nên áp dụng phương pháp đó.
Tất cả các bài tập đều đi kèm đáp án mới nhất, được kiểm tra kỹ lưỡng để đảm bảo độ chính xác cao. Điều này giúp bạn tự kiểm tra kết quả và khắc phục lỗi sai một cách nhanh chóng.
Ngoài ra, bài viết còn cung cấp các tài liệu bổ trợ như:
Chủ đề đề cuối học kỳ 1 toán 9 năm 2025 – 2026 sở gd&đt hưng yên là một phần kiến thức thú vị và hữu ích trong toán học. Hãy sử dụng bài viết này như một công cụ hỗ trợ để bạn chinh phục mọi thử thách trong môn Toán. Đừng quên ôn tập thường xuyên và luyện tập nhiều dạng bài tập khác nhau để thành thạo hơn!
Chúc các bạn học tốt và đạt kết quả cao! 😊
>> Xem thêm đáp án chi tiết về: đề cuối học kỳ 1 toán 9 năm 2025 – 2026 sở gd&đt hưng yên.