giaitoan.edu.vn giới thiệu đến quý thầy, cô giáo và các em học sinh đề cương ôn tập cuối học kỳ 2 môn Toán 11 năm học 2025 – 2026 trường THPT Hoàng Văn Thụ, thành phố Hà Nội.
1. MỤC TIÊU
1.1. Kiến thức: Học sinh ôn tập các kiến thức về:
– Lũy thừa với số mũ thực.
– Lôgarit.
– Hàm số mũ và hàm số lôgarit.
– Phương trình, bất phương trình mũ và lôgarit.
– Biến cố giao, biến cố hợp, biến cố độc lập.
– Công thức cộng xác suất.
– Công thức nhân xác suất cho hai biến cố độc lập.
– Định nghĩa và ý nghĩa của đạo hàm.
– Các quy tắc tính đạo hàm.
– Hai đường thẳng vuông góc.
– Đường thẳng vuông góc với mặt phẳng.
– Phép chiếu vuông góc. Góc giữa đường thẳng và mặt phẳng.
– Hai mặt phẳng vuông góc.
– Khoảng cách.
– Thể tích.
1.2. Kĩ năng: Học sinh rèn luyện các kĩ năng:
– Kĩ năng biến đổi biểu thức liên quan luỹ thừa và logarit.
– Kĩ năng tìm điều kiện xác định của hàm số luỹ thừa, hàm số mũ và hàm số logarit.
– Kĩ năng giải phương trình và bất phương trình mũ, logarit.
– Kĩ năng đọc hiểu và phân tích đồ thị hàm số mũ, hàm số logarit.
– Kĩ năng tính giá trị (đúng hoặc gần đúng) của lôgarit bằng cách sử dụng máy tính cầm tay.
– Kĩ năng định dạng mối quan hệ giữa các biến cố (biến cố đối, hai biến cố xung khắc, độc lập).
– Kĩ năng áp dụng các quy tắc tính xác suất.
– Kĩ năng tính đạo hàm của một số hàm số sơ cấp cơ bản. Sử dụng các công thức tính đạo hàm của tổng, hiệu, tích, thương các hàm số và đạo hàm của hàm số hợp.
– Kĩ năng lập phương trình tiếp tuyến của đồ thị hàm số.
– Kĩ năng vận dụng ý nghĩa cơ học và hình học của đạo hàm.
– Kĩ năng “đọc” đề và vẽ hình không gian.
– Kĩ năng chứng minh quan hệ vuông góc.
– Kĩ năng xác định góc, tính toán số đo góc giữa hai đường thẳng, giữa đường thẳng và mặt phẳng, giữa hai mặt phẳng và góc phẳng nhị diện.
– Kĩ năng tính khoảng cách từ 1 điểm đến một đường thẳng, mặt phẳng; khoảng cách giữa hai đường thẳng song song, chéo nhau.
– Kĩ năng tính thể tích khối đa diện.
– Kĩ năng mô hình hóa toán học (Vận dụng thực tế).
– Kĩ năng trình bày bài, tính toán và tư duy lôgic.
2. NỘI DUNG
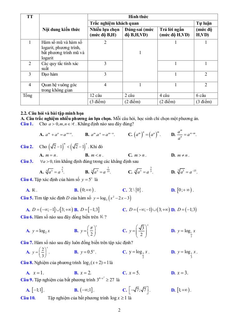
1 Hàm số mũ và hàm số logarit, phương trình, bất phương trình mũ và logarit.
2 Các quy tắc tính xác suất.
3 Đạo hàm.
4 Quan hệ vuông góc trong không gian.










Giải Toán đề cương cuối kỳ 2 toán 11 năm 2025 – 2026 trường thpt hoàng văn thụ – hà nội với Đáp Án Mới Nhất
Toán học luôn là một môn học quan trọng, giúp học sinh phát triển tư duy logic và kỹ năng giải quyết vấn đề. Để hỗ trợ các bạn học sinh và giáo viên trong việc học tập và giảng dạy, bài viết này sẽ cung cấp lời giải chi tiết và đáp án chính xác cho chủ đề đề cương cuối kỳ 2 toán 11 năm 2025 – 2026 trường thpt hoàng văn thụ – hà nội, giúp bạn hiểu sâu và tự tin hơn khi làm bài tập.
đề cương cuối kỳ 2 toán 11 năm 2025 – 2026 trường thpt hoàng văn thụ – hà nội là một trong những phần kiến thức quan trọng trong chương trình toán học, thường xuất hiện trong các bài kiểm tra và kỳ thi lớn. Việc nắm vững phần này không chỉ giúp bạn đạt điểm cao mà còn tạo nền tảng vững chắc để học các nội dung nâng cao hơn.
Chúng tôi cung cấp hướng dẫn từng bước giải bài tập, bao gồm:
Mỗi bài giải đều kèm theo lời giải thích chi tiết, giúp bạn hiểu không chỉ cách làm mà còn cả lý do tại sao nên áp dụng phương pháp đó.
Tất cả các bài tập đều đi kèm đáp án mới nhất, được kiểm tra kỹ lưỡng để đảm bảo độ chính xác cao. Điều này giúp bạn tự kiểm tra kết quả và khắc phục lỗi sai một cách nhanh chóng.
Ngoài ra, bài viết còn cung cấp các tài liệu bổ trợ như:
Chủ đề đề cương cuối kỳ 2 toán 11 năm 2025 – 2026 trường thpt hoàng văn thụ – hà nội là một phần kiến thức thú vị và hữu ích trong toán học. Hãy sử dụng bài viết này như một công cụ hỗ trợ để bạn chinh phục mọi thử thách trong môn Toán. Đừng quên ôn tập thường xuyên và luyện tập nhiều dạng bài tập khác nhau để thành thạo hơn!
Chúc các bạn học tốt và đạt kết quả cao! 😊
>> Xem thêm đáp án chi tiết về: đề cương cuối kỳ 2 toán 11 năm 2025 – 2026 trường thpt hoàng văn thụ – hà nội.