giaitoan.edu.vn giới thiệu đến quý thầy, cô giáo và các em học sinh đề cương ôn thi giữa học kì 1 môn Toán 9 năm học 2025 – 2026 trường THCS Nguyễn Văn Linh, phường Tam Thắng, thành phố Hồ Chí Minh.
PHẦN I: LÝ THUYẾT.
+ Dạng 1: Phương trình tích có dạng: A(x).B(x) = 0.
+ Dạng 2: Phương trình chứa ẩn ở mẫu.
+ Dạng 3: Giải hệ phương trình bằng phương pháp thế.
+ Dạng 4: Giải hệ phương trình bằng phương pháp cộng đại số.
+ Dạng 5: Các bước giải một bài toán bằng cách lập hệ phương trình.
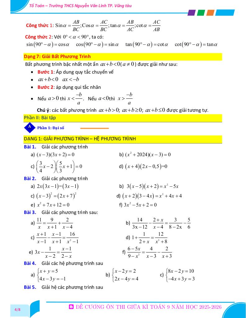
+ Dạng 6: Tỉ số lượng giác.
+ Dạng 7: Giải bất phương trình.
PHẦN II: BÀI TẬP.
+ Dạng 1: Giải phương trình và hệ phương trình.
+ Dạng 2: Giải bài toán bằng cách lập hệ phương trình.
+ Dạng 3: Bất đẳng thức.
+ Dạng 4: Ứng dụng thực tế của tỉ số lượng giác.
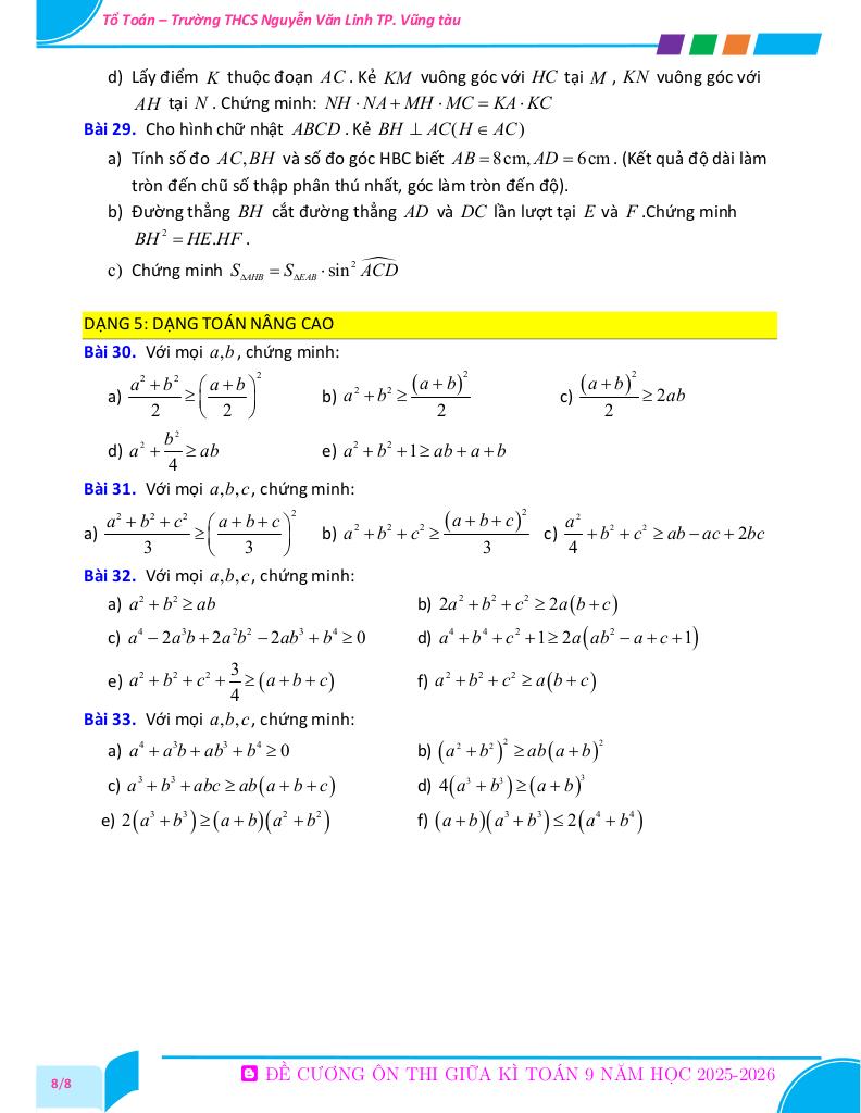
+ Dạng 5: Hình học chứng minh.
+ Dạng 6: Toán nâng cao.






Giải Toán đề cương giữa kì 1 toán 9 năm 2025 – 2026 trường thcs nguyễn văn linh – tp hcm với Đáp Án Mới Nhất
Toán học luôn là một môn học quan trọng, giúp học sinh phát triển tư duy logic và kỹ năng giải quyết vấn đề. Để hỗ trợ các bạn học sinh và giáo viên trong việc học tập và giảng dạy, bài viết này sẽ cung cấp lời giải chi tiết và đáp án chính xác cho chủ đề đề cương giữa kì 1 toán 9 năm 2025 – 2026 trường thcs nguyễn văn linh – tp hcm, giúp bạn hiểu sâu và tự tin hơn khi làm bài tập.
đề cương giữa kì 1 toán 9 năm 2025 – 2026 trường thcs nguyễn văn linh – tp hcm là một trong những phần kiến thức quan trọng trong chương trình toán học, thường xuất hiện trong các bài kiểm tra và kỳ thi lớn. Việc nắm vững phần này không chỉ giúp bạn đạt điểm cao mà còn tạo nền tảng vững chắc để học các nội dung nâng cao hơn.
Chúng tôi cung cấp hướng dẫn từng bước giải bài tập, bao gồm:
Mỗi bài giải đều kèm theo lời giải thích chi tiết, giúp bạn hiểu không chỉ cách làm mà còn cả lý do tại sao nên áp dụng phương pháp đó.
Tất cả các bài tập đều đi kèm đáp án mới nhất, được kiểm tra kỹ lưỡng để đảm bảo độ chính xác cao. Điều này giúp bạn tự kiểm tra kết quả và khắc phục lỗi sai một cách nhanh chóng.
Ngoài ra, bài viết còn cung cấp các tài liệu bổ trợ như:
Chủ đề đề cương giữa kì 1 toán 9 năm 2025 – 2026 trường thcs nguyễn văn linh – tp hcm là một phần kiến thức thú vị và hữu ích trong toán học. Hãy sử dụng bài viết này như một công cụ hỗ trợ để bạn chinh phục mọi thử thách trong môn Toán. Đừng quên ôn tập thường xuyên và luyện tập nhiều dạng bài tập khác nhau để thành thạo hơn!
Chúc các bạn học tốt và đạt kết quả cao! 😊
>> Xem thêm đáp án chi tiết về: đề cương giữa kì 1 toán 9 năm 2025 – 2026 trường thcs nguyễn văn linh – tp hcm.