giaitoan.edu.vn giới thiệu đến quý thầy, cô giáo và các em học sinh đề cương ôn tập kiểm tra giữa học kỳ 1 môn Toán 9 năm học 2025 – 2026 trường THCS Thành Công, phường Giảng Võ, thành phố Hà Nội.
A. PHẦN ĐẠI SỐ
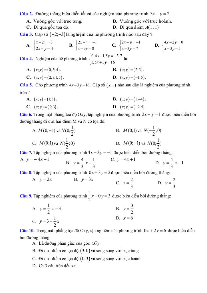
I. TRẮC NGHIỆM.
– Phần 1. Điền nội dung phù hợp vào ô trống.
– Phần 2. Chọn phương án trả lời đúng cho mỗi câu.
– Phần 3. Điền nội dung thích hợp vào dấu “…” để có các khẳng định đúng.
II. TỰ LUẬN.
– Dạng 1. Giải hệ phương trình.
– Dạng 2. Bài toán về phương trình đường thẳng và ba đường thẳng đồng quy.
– Dạng 3. Giải bài toán bằng cách lập hệ phương trình.
+ Toán về cấu tạo số, quan hệ giữa các số.
+ Toán có liên quan tới tỉ số %.
+ Toán làm chung công việc.
+ Toán chuyển động.
+ Toán có nội dung hình học.
+ Toán có sự thay đổi các thừa số của tích.
+ Toán có nội dung lí, hóa.
+ Một số bài toán khác.
II. BÀI TẬP NÂNG CAO.
B. PHẦN HÌNH HỌC
I. TRẮC NGHIỆM.
II. TỰ LUẬN.
– Dạng 1. Tính giá trị các biểu thức.
– Dạng 2. Tính tỉ số lượng giác của góc nhọn.
– Dạng 3. Các bài toán thực tế.
– Dạng 4. Giải tam giác vuông.
– Dạng 5. Tính các cạnh và góc chưa biết của tam giác không phải là tam giác vuông.
III. BÀI TẬP NÂNG CAO.










Giải Toán đề cương giữa kỳ 1 toán 9 năm 2025 – 2026 trường thcs thành công – hà nội với Đáp Án Mới Nhất
Toán học luôn là một môn học quan trọng, giúp học sinh phát triển tư duy logic và kỹ năng giải quyết vấn đề. Để hỗ trợ các bạn học sinh và giáo viên trong việc học tập và giảng dạy, bài viết này sẽ cung cấp lời giải chi tiết và đáp án chính xác cho chủ đề đề cương giữa kỳ 1 toán 9 năm 2025 – 2026 trường thcs thành công – hà nội, giúp bạn hiểu sâu và tự tin hơn khi làm bài tập.
đề cương giữa kỳ 1 toán 9 năm 2025 – 2026 trường thcs thành công – hà nội là một trong những phần kiến thức quan trọng trong chương trình toán học, thường xuất hiện trong các bài kiểm tra và kỳ thi lớn. Việc nắm vững phần này không chỉ giúp bạn đạt điểm cao mà còn tạo nền tảng vững chắc để học các nội dung nâng cao hơn.
Chúng tôi cung cấp hướng dẫn từng bước giải bài tập, bao gồm:
Mỗi bài giải đều kèm theo lời giải thích chi tiết, giúp bạn hiểu không chỉ cách làm mà còn cả lý do tại sao nên áp dụng phương pháp đó.
Tất cả các bài tập đều đi kèm đáp án mới nhất, được kiểm tra kỹ lưỡng để đảm bảo độ chính xác cao. Điều này giúp bạn tự kiểm tra kết quả và khắc phục lỗi sai một cách nhanh chóng.
Ngoài ra, bài viết còn cung cấp các tài liệu bổ trợ như:
Chủ đề đề cương giữa kỳ 1 toán 9 năm 2025 – 2026 trường thcs thành công – hà nội là một phần kiến thức thú vị và hữu ích trong toán học. Hãy sử dụng bài viết này như một công cụ hỗ trợ để bạn chinh phục mọi thử thách trong môn Toán. Đừng quên ôn tập thường xuyên và luyện tập nhiều dạng bài tập khác nhau để thành thạo hơn!
Chúc các bạn học tốt và đạt kết quả cao! 😊
>> Xem thêm đáp án chi tiết về: đề cương giữa kỳ 1 toán 9 năm 2025 – 2026 trường thcs thành công – hà nội.