giaitoan.edu.vn giới thiệu đến quý thầy, cô giáo và các em học sinh đề cương ôn tập giữa học kỳ 1 môn Toán 11 năm học 2025 – 2026 trường THPT Hoàng Văn Thụ, thành phố Hà Nội.
1. MỤC TIÊU
1.1. Kiến thức: Học sinh ôn tập các kiến thức về:
– Giá trị lượng giác của một góc lượng giác.
– Công thức lượng giác.
– Hàm số lượng giác.
– Phương trình lượng giác cơ bản.
– Dãy số.
– Cấp số cộng.
– Đường thẳng và mặt phẳng trong không gian.
– Hai đường thẳng song song.
– Đường thẳng và mặt phẳng song song.
1.2. Kĩ năng: Học sinh rèn luyện các kĩ năng:
– Xác định được các giá trị lượng giác của góc lượng giác; biết được mối quan hệ giữa các giá trị lượng giác của các góc lượng giác có liên quan đặc biệt.
– Biết áp dụng các phép biến đổi lượng giác: công thức cộng, công thức nhân đôi, công thức biến đổi tổng thành tích, công thức biến đổi tích thành tổng.
– Biết biết được tính chẵn, lẻ và tuần hoàn của một hàm số lượng giác; nhận dạng đồ thị của các hàm số lượng giác cơ bản.
– Biết giải quyết một số vấn đề thực tiễn liên quan giá trị lượng giác, hàm số lượng giác và các phép biến đổi lượng giác.
– Biết giải các phương trình lượng giác cơ bản.
– Biết tìm số hạng của dãy số cho bởi liệt kê các số hạng, công thức tổng quát, hệ thức truy hồi, mô tả.
– Biết chứng minh dãy số tăng, giảm, bị chặn cơ bản, dãy số là cấp số cộng.
– Biết tìm giao tuyến của hai mặt phẳng, giao điểm của đường thẳng và mặt phẳng.
– Biết chứng minh hai đường thẳng song song và đường thẳng song song với mặt phẳng trong không gian.
– Vận dụng các kiến thức về hai đường thẳng song song để tìm giao tuyến của hai mặt phẳng.
2. NỘI DUNG
2.1. Ma trận đề kiểm tra giữa học kỳ 1 môn Toán 11.
1 Giá trị lượng giác của một góc lượng giác.
2 Công thức lượng giác.
3 Hàm số lượng giác.
4 Phương trình lượng giác cơ bản.
5 Dãy số.
6 Cấp số cộng.
7 Đường thẳng và mặt phẳng trong không gian.
8 Hai đường thẳng song song.
9 Đường thẳng song song mặt phẳng.
2.2. Câu hỏi và bài tập minh họa.
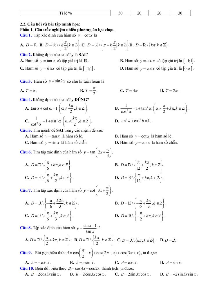
– Phần 1. Câu trắc nghiệm nhiều phương án lựa chọn.
– Phần 2. Câu trắc nghiệm đúng sai.
– Phần 3. Trả lời ngắn.
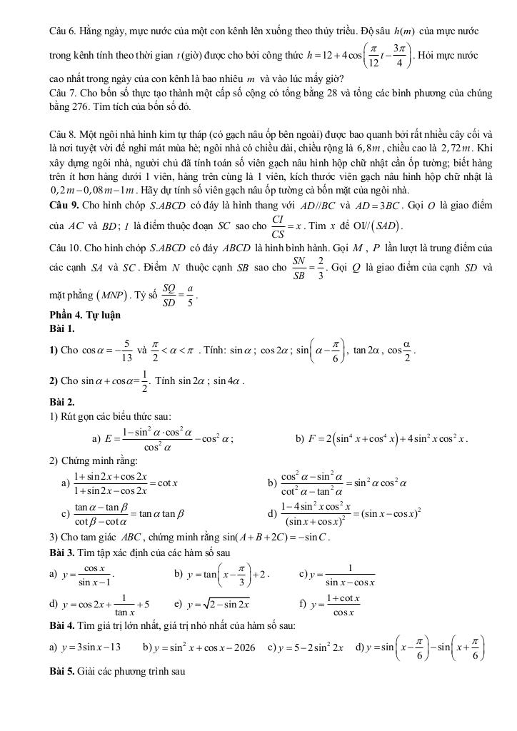
– Phần 4. Tự luận.
2.3. Đề minh họa.










Giải Toán đề cương giữa kỳ 1 toán 11 năm 2025 – 2026 trường thpt hoàng văn thụ – hà nội với Đáp Án Mới Nhất
Toán học luôn là một môn học quan trọng, giúp học sinh phát triển tư duy logic và kỹ năng giải quyết vấn đề. Để hỗ trợ các bạn học sinh và giáo viên trong việc học tập và giảng dạy, bài viết này sẽ cung cấp lời giải chi tiết và đáp án chính xác cho chủ đề đề cương giữa kỳ 1 toán 11 năm 2025 – 2026 trường thpt hoàng văn thụ – hà nội, giúp bạn hiểu sâu và tự tin hơn khi làm bài tập.
đề cương giữa kỳ 1 toán 11 năm 2025 – 2026 trường thpt hoàng văn thụ – hà nội là một trong những phần kiến thức quan trọng trong chương trình toán học, thường xuất hiện trong các bài kiểm tra và kỳ thi lớn. Việc nắm vững phần này không chỉ giúp bạn đạt điểm cao mà còn tạo nền tảng vững chắc để học các nội dung nâng cao hơn.
Chúng tôi cung cấp hướng dẫn từng bước giải bài tập, bao gồm:
Mỗi bài giải đều kèm theo lời giải thích chi tiết, giúp bạn hiểu không chỉ cách làm mà còn cả lý do tại sao nên áp dụng phương pháp đó.
Tất cả các bài tập đều đi kèm đáp án mới nhất, được kiểm tra kỹ lưỡng để đảm bảo độ chính xác cao. Điều này giúp bạn tự kiểm tra kết quả và khắc phục lỗi sai một cách nhanh chóng.
Ngoài ra, bài viết còn cung cấp các tài liệu bổ trợ như:
Chủ đề đề cương giữa kỳ 1 toán 11 năm 2025 – 2026 trường thpt hoàng văn thụ – hà nội là một phần kiến thức thú vị và hữu ích trong toán học. Hãy sử dụng bài viết này như một công cụ hỗ trợ để bạn chinh phục mọi thử thách trong môn Toán. Đừng quên ôn tập thường xuyên và luyện tập nhiều dạng bài tập khác nhau để thành thạo hơn!
Chúc các bạn học tốt và đạt kết quả cao! 😊
>> Xem thêm đáp án chi tiết về: đề cương giữa kỳ 1 toán 11 năm 2025 – 2026 trường thpt hoàng văn thụ – hà nội.